Concepto
El índice de tendencia de competitividad (ITC) es un indicador de la competitividad precio de una economía respecto a un conjunto de países, medido como un tipo de cambio efectivo real. Tal y como está definido, se convierte en una medida de la competitividad de un país ex-ante, a diferencia de las cuotas de mercado que miden la competitividad estructural de una economía y, por tanto, es una medición expost.
En el caso de España, el ITC se elabora principalmente respecto a dos áreas geográficas, Unión Europea y OCDE, a lo que se añaden pequeñas variantes de ambas: zona euro, Unión Europea sin la zona euro, OCDE sin la UE y OCDE sin la zona euro.
Al ser un índice los datos están referenciados a un año base, que en nuestro caso, en la actualidad es el año 2006. Se elaboran con una periodicidad mensual, trimestral y anual, lo que permite un estudio más detallado del estado de situación.
Componentes
Los dos componentes fundamentales del ITC son los precios y el tipo de cambio, esto es, un índice de precios relativo (IPR) y un índice ponderado de la moneda (IPX). De tal forma que el índice de tendencia de competitividad en un año determinado t queda definido como

El Índice de Precios Relativo (IPR)
El índice de precios relativo puede ser elaborado a partir de dos indicadores diferentes, los precios al consumo y los índices de valor unitario de las exportaciones.
a) Con precios al consumo
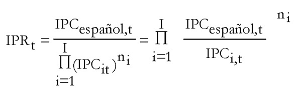
Cuando el ITC se elabora con precios al consumo, representa la relación existente entre los precios al consumo de España, respecto al área geográfica seleccionada, ponderando cada uno de los países de dicha zona a partir de su peso en las exportaciones españolas, según la siguiente formulación

Donde, IPR representa el índice de precios relativos, t son los años, i los países para los que se calcula el índice, y n la ponderación de dichos países. De esta forma, un aumento (disminución) del IPR expresará una pérdida de competitividad de España frente a la zona seleccionada, debido a un crecimiento de sus precios superior al de sus competidores, o a una menor contención de los mismos frente a la zona elegida.
En concreto, las ponderaciones de cada uno de los países en los precios relativos se corresponden con el siguiente cuadro.
| Ponderaciones (%) utilizadas en la construcción de los ITC calculados con precios al consumo |
| UE-27: zonas geográficas consideradas | OCDE: zonas geográficas consideradas |
| | UEM-16 | UE-27 no UEM-16 | UE-27 | | OCDE no UEM-16 | OCDE no UE-27 | OCDE |
| Alemania | 19,4 | | 15,8 | Alemania | | | 13,9 |
| Austria | 1,5 | | 1,2 | Austria | | | 1,1 |
| Bélgica | 4,8 | | 3,9 | Bélgica | | | 3,5 |
| Finlandia | 0,7 | | 0,5 | Finlandia | | | 0,5 |
| Francia | 32,1 | | 26,2 | Francia | | | 23,1 |
| Grecia | 2,0 | | 1,6 | Grecia | | | 1,4 |
| Irlanda | 1,0 | | 0,8 | Irlanda | | | 0,7 |
| Italia | 15,2 | | 12,4 | Italia | | | 10,9 |
| Países Bajos | 5,5 | | 4,5 | Países Bajos | | | 3,9 |
| Luxemburgo | 0,2 | | 0,2 | Luxemburgo | | | 0,1 |
| Portugal | 16,4 | | 13,4 | Portugal | | | 11,7 |
| Eslovenia | 0,4 | | 0,3 | Eslovaquia | | | 0,4 |
| Chipre | 0,2 | | 0,2 | Dinamarca | 2,9 | | 0,8 |
| Malta | 0,2 | | 0,1 | Reino Unido | 38,0 | | 10,9 |
| Eslovaquia | 0,5 | | 0,4 | Suecia | 4,0 | | 1,2 |
| Dinamarca | | 5,1 | 0,9 | Polonia | 4,2 | | 1,2 |
| Reino Unido | | 67,6 | 12,4 | Hungría | 2,1 | | 0,6 |
| Suecia | | 7,1 | 1,3 | Rep. Checa | 2,6 | | 0,7 |
| Polonia | | 7,4 | 1,4 | Canadá | 1,9 | 4,2 | 0,6 |
| Hungría | | 3,8 | 0,7 | Estados Unidos | 17,3 | 37,4 | 5,0 |
| Rep. Checa | | 4,6 | 0,8 | Japón | 3,2 | 6,9 | 0,9 |
| Estonia | | 0,4 | 0,1 | Noruega | 2,1 | 4,5 | 0,6 |
| Letonia | | 0,3 | 0,1 | Suiza | 5,3 | 11,4 | 1,5 |
| Lituania | | 0,7 | 0,1 | Nueva Zelanda | 0,2 | 0,4 | 0,1 |
| Bulgaria | | 0,9 | 0,2 | Islandia | 0,1 | 0,2 | 0,0 |
| Rumanía | | 2,1 | 0,4 | Australia | 1,9 | 4,1 | 0,5 |
| TOTAL | 100,0 | 100,0 | 100,0 | Corea del Sur | 1,1 | 2,3 | 0,3 |
| | México | 6,9 | 15,0 | 2,0 |
| Turquía | 6,2 | 13,4 | 1,8 |
| TOTAL | 100,0 | 100,0 | 100,0 |
| Fuente: Secretaría de Estado de Comercio. Subdirección General de Análisis, Estrategia y Evaluación, mayo 2009. |
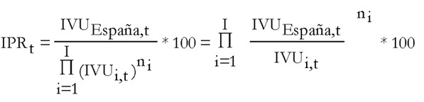
b) Con Índice de Valor Unitario de las Exportaciones (IVUX)
El otro indicador para medir los precios relativos son los índices de valor unitario de las exportaciones. Estos IVUx miden el valor de las exportaciones totales de nuestro país respecto a una unidad de medida de dichas exportaciones para los distintos tipos de productos.
De esta forma, evitamos una de las deficiencias de los precios al consumo, ya que en este caso los bienes representados en el índice son los que realmente quedan expuestos a la competencia internacional vía exportación.
Su medición se hace a partir de la siguiente formulación

Donde IPR expresa el índice de precios relativo en el año t; IVUEspaña,t son los índices de valor unitario de España en el año t, i son los países que componen el área de referencia cada uno de ellos ponderado según el cuadro mostrado anteriormente.
De esta forma, cuando el valor de las exportaciones españolas crece por encima del valor de las exportaciones del área con el que se está referenciado, entonces aumenta el IPR y perdemos competitividad.
El Índice Ponderado de Tipo de Cambio (IPX)
El índice de tendencia de competitividad al ser un tipo de cambio efectivo real, debe tener un componente de tipo de cambio, en concreto, un tipo de cambio efectivo, dado que el análisis se va a realizar a partir de la evolución del tipo de cambio de la moneda española (desde el 1 de enero de 1999, el euro; y con anterioridad a esa fecha la peseta) respecto a un conjunto de monedas. En concreto, el índice de tipo de cambio (IPXt) en un año t viene definido como la inversa del tipo de cambio efectivo de la moneda española (tc) respecto a las monedas de la zona geográfica respecto a la que estemos analizando (i).

Donde n, es la ponderación normalizada de cada uno de los países, a partir de la estructura de las exportaciones españolas entre 2002 y 2005.
Así, cuando se produce una disminución del IPX es debido a una depreciación de la moneda española respecto al resto de monedas consideradas, por lo que estaríamos ganando competitividad frente a ellos.
Interpretación de los resultados
Según se han definido cada uno de los componentes del ITC, la evolución que experimente a lo largo de los años vendrá definida por cómo lo hagan cada uno de ellos. En general, se puede afirmar que un aumento (disminución) del ITC expresará una pérdida (ganancia) de competitividad precio de la economía española respecto al área geográfica con la que se esté analizando, ya sea porque han aumentado tus precios relativos, ya sea porque se ha apreciado tu moneda, o ya sea porque han aumentado ambos índices.
Analizando los gráficos siguientes podemos comprobar la evolución del ITC de España respecto a la UE-27 y respecto a la UEM-16. En ambos casos se puede comprobar cómo la evolución del ITC ha seguido dos trayectorias claramente diferenciadas, una hasta 1995 y otra a partir de 1997. En la primera, desde 1990 hasta 1995, el ITC ha ido disminuyendo fundamentalmente como consecuencia de la pérdida de valor de la peseta, especialmente con las devaluaciones de 1992, la de 1993 y la de 1995, ya que aún manteniendo unos precios crecientes (aumento del IPR frente a los países europeos y de la zona euro) la depreciación/devaluación de la peseta más que compensó dicho crecimiento, permitiendo que mejorase la competitividad precio de nuestra economía haciendo que el ITC pasase de un valor del 112 y 106 % —medido frente a la UE-27 y UEM-16 respectivamente— a un valor cercano al 95 %, en ambos casos.


Sin embargo, a partir de entonces, el ITC ha cambiado su trayectoria, comenzando a aumentar de forma paulatina, hecho que se hace más evidente a partir de 1997-1998, años en los que el tipo de cambio se estabiliza frente a las monedas de la UE y que llega a anularse para el caso de la UEM, con la adopción del euro. Por ello, a partir de 1999 son los precios los que cobran un mayor protagonismo, de tal forma que el mayor crecimiento de nuestros precios frente a la UE y frente a nuestros socios de la zona euro son los que están determinando la pérdida de competitividad que refleja el ITC desde entonces. De hecho, cuando se analiza el ITC frente a la UEM-16 el índice ponderado de tipo de cambio (IPX) toma un valor unitario desde el 1 de enero de 1999, tras la fijación irrevocable de los tipos de cambio de los países que cumplieron los criterios de convergencia nominal, entre ellos España. Por lo que el ITC sólo viene determinado por la evolución de los precios relativos de nuestro país frente a los países que forma la UEM.
Recuerde que...
- • Componentes fundamentales del ITC: Índice de Precios Relativo (IPR) e Índice Ponderado de Tipo de Cambio (IPX).
- • El IPR puede ser elaborado a partir de dos indicadores: los precios al consumo y los índices de valor unitario de las exportaciones.
- • El IPX debe tener un componente de tipo de cambio, dado que el análisis se realiza a partir de la evolución del tipo de cambio de la moneda.
- • Un aumento del ITC expresará una pérdida de competitividad precio de la economía respecto al área geográfica con la que se analice.