Concepto
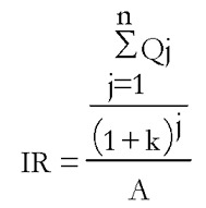
Es un método de valoración de inversiones que mide el valor actualizado de los cobros generados, por cada unidad monetaria invertida en el proyecto de inversión. Analíticamente se calcula dividiendo el valor actualizado de los flujos de caja de la inversión por el desembolso inicial.

Siendo:
- — k= el tipo de descuento.
- — A = desembolso inicial.
- — Q1, Q2......Qn = flujos netos de caja de cada período.
Criterio de selección
Según el índice de rentabilidad son efectuables aquellas inversiones que tengan un valor superior a la unidad, ya que en caso contrario los cobros generados actualizados son inferiores a los pagos.
Si se quiere elegir entre varias inversiones son preferibles las que tengan un índice de rentabilidad más elevado.
Inconvenientes
Los principales inconvenientes de este método de valoración de inversiones son:
- 1. La dificultad de especificar el tipo de descuento.
En el índice de rentabilidad se realiza la actualización de los flujos de caja a un tipo “k”. Uno de los problemas que se plantea es elegir el citado tipo de descuento, que debe recoger la rentabilidad mínima exigida a la inversión.
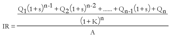
- 2. La hipótesis de reinversión de los flujos netos de caja.
Al actualizar los flujos de caja, se está asumiendo que los mismos se reinvierten hasta el período “n” al mismo tipo de interés “k” que se utiliza para su actualización. Si se utiliza un tipo de reinversión diferente “s” con el que se capitalizan los flujos de caja hasta “n”, y posteriormente se actualiza el importe obtenido hasta el momento actual, al tipo “k”, se obtiene la siguiente expresión:

Puede comprobarse que esta expresión solo coincide con el índice de rentabilidad cuando el tipo de reinversión “s” es igual al de descuento “k”.
Ejemplo:
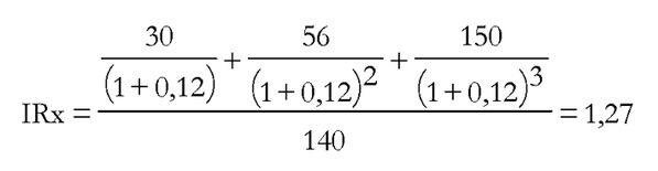
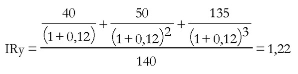
Una empresa puede realizar dos proyectos inversión de los que se conocen los siguientes datos: La inversión “X” requiere un desembolso inicial de 140 millones de euros, generando unos flujos de caja anuales (también en millones de euros) de 30 en el primer año, 56 en el segundo y 150 en el tercero. Por su parte, la inversión “Y” también requiere un desembolso inicial de 140 millones de euros, pero genera unos flujos de caja anuales (en millones de euros) de 40 en el primer año, 50 en el segundo y 135 en el tercero. Si la rentabilidad que exige la empresa a sus inversiones es del 12 %, se pide determinar, en función del índice de rentabilidad, si las inversiones son efectuables y cual de las dos es preferible.
Solución:
El índice de rentabilidad de “X” se calcula de la siguiente forma:

El índice de rentabilidad de “Y” se calcula de la siguiente forma:

Por tanto, ambas inversiones son efectuables ya que generan más de un euro (actualizado) por cada euro invertido. Concretamente la inversión “X” genera 1,27 euros y la “Y” 1,22. En cuanto a la elección entre ambas inversiones es preferible la “X”, ya que genera más euros por cada unidad monetaria invertida.
Recuerde que...
- • Analíticamente se calcula dividiendo el valor actualizado de los flujos de caja de la inversión por el desembolso inicial.
- • Según el índice de rentabilidad son efectuables aquellas inversiones que tengan un valor superior a la unidad, ya que en caso contrario los cobros generados actualizados son inferiores a los pagos.
- • Los principales inconvenientes de este método de valoración de inversiones son: la dificultad de especificar el tipo de descuento y la hipótesis de reinversión de los flujos netos de caja.
- • Si se quiere elegir entre varias inversiones son preferibles las que tengan un índice de rentabilidad más elevado.