Concepto
Un árbol de decisión en valoración de inversiones es una técnica de análisis de proyectos de inversión que se basa en la representación gráfica de decisiones de inversión secuenciales.
Al apoyarse en la teoría de grafos, permite plantear de forma simplificada los problemas de decisiones, así como una comprensión más fácil al poder visualizar las distintas alternativas que pueden presentarse a lo largo del horizonte de planificación, obteniéndose al final del proceso de análisis y valoración la secuencia de decisiones óptimas que se deberían llevar a cabo.
Entre las ventajas que presenta esta metodología se encuentra la posibilidad de tener en consideración todos los sucesos que puedan afectar al proyecto objeto de análisis a lo largo del horizonte de planificación considerado, pudiéndose replantear la decisión inicial en algún período posterior. Además, el hecho de realizar el análisis de las distintas alternativas posibles, hace que en realidad no se esté analizando un único proyecto sino varios de forma simultánea. Por otra parte, esta técnica permite la introducción en el análisis de proyectos de inversión del riesgo.
Diseño de un árbol de decisión
Un árbol de decisión es un grafo mediante el cual se representan las distintas alternativas que se pueden presentar al analizar un proyecto de inversión, con el objetivo de poder determinar cuál es la secuencia de decisiones óptimas que se deben llevar a cabo a efectos de maximizar la rentabilidad obtenida.
Para el diseño de los árboles de decisión se utilizan los siguientes elementos:
- — Los nudos decisionales: se utilizan para representar las distintas alternativas de elección posibles. Se representan gráficamente mediante un cuadrado.
- — Los nudos aleatorios: representan los distintos estados del entorno que pueden presentarse, no teniendo el decisor capacidad de decisión sobre los mismos. A estos estados se les asigna una determinada probabilidad de ocurrencia, debiendo ser la suma de las probabilidades asignadas a los distintos estados que parten de un mismo nudo aleatorio la unidad. Se representan gráficamente mediante un círculo.
- — Los arcos o ramas: se denominan así a las flechas que permiten la unión de dos nudos, es decir el paso de una situación a otra. En las ramas se representan las corrientes de cobros y pagos de cada una de las alternativas. En el caso de tratarse de ramas que partan de nudos decisionales incorporarán la probabilidad estimada de que se presente cada uno de los estados posibles.
Un árbol de decisión puede contener tantos nudos decisionales y aleatorios como se desee, que darán lugar a los distintos caminos a analizar, no existiendo tampoco limitación en la duración del horizonte temporal.
El árbol de decisión se diseñará de tal forma que las decisiones que se correspondan con un mismo momento del tiempo dentro del horizonte de planificación estarán alineadas verticalmente. Por otra parte, hay que tener en cuenta que las alternativas de decisión están ordenadas cronológicamente, según se presentan en el tiempo, de izquierda a derecha, coincidiendo la primera decisión del árbol con el momento inicial.
Una vez diseñado el árbol de decisión se procederá a la numeración tanto de los nudos decisionales, como aleatorios. De tal forma que el número 1 le corresponderá al nudo de decisión situado en la raíz del árbol, y a partir de ahí se numerarán los nudos que tienen lugar en el momento 1, y así sucesivamente. La numeración se realizará empezando por la parte de arriba hasta llegar al último nudo, situado en el mismo momento temporal, y será la continuación del último nudo numerado en el momento temporal inmediatamente anterior.
Las ramas finales del árbol de decisión nos indicarán el número de caminos a analizar, estando constituido cada uno de los caminos por la elección de las alternativas que lo preceden.

Para facilitar las explicaciones posteriores, así como la comprensión de las mismas, se ha optado por diseñar un árbol de decisión que presenta un nudo decisional, y seis nudos aleatorios, siendo el horizonte temporal para la realización del análisis de dos períodos.
Esta técnica de valoración de inversiones se utiliza con bastante frecuencia, no obstante, presenta el inconveniente de que a medida que se incrementan las alternativas posibles, el número de caminos a analizar crece de forma considerable. Para facilitar el análisis de los árboles de decisión se pueden utilizar hojas de cálculo, aunque también existen en el mercado programas informáticos específicos, como es el caso del programa “Precision Tree” de Palisade que funciona bajo Excel, que simplifican de forma considerable tanto el diseño como el análisis de los mismos.
Valoración
Para valorar el árbol de decisión previamente diseñado se suele utilizar como criterio el valor actual neto (VAN), debiéndose calcular, en primer lugar, el VAN asociado a cada uno de los caminos planteados en función de las distintas alternativas disponibles, para a partir de ahí poder determinar la rentabilidad que proporcionan las distintas estrategias y poder tomar la decisión óptima.
Hay que diferenciar el análisis sin tener en cuenta el riesgo, o incorporando el mismo.
Sin tener en cuenta el riesgo en el análisis
Conocidos todos los valores actuales netos de los distintos caminos se parte del final y se va hacia la izquierda para ir calculando el VAN esperado asociado a cada uno de los nudos. De tal forma que:
— Si el nudo es decisional, entonces el valor esperado será el valor máximo de los nudos inmediatamente siguientes.

De forma genérica:
Е1= Max (Е2, ..., Еn)
Donde E1 es el valor esperado del nudo 1.
— Si el nudo es aleatorio, dicho valor esperado se calcula mediante la suma del resultado de multiplicar el valor esperado de los nudos siguientes (o de los VAN del final del camino, según corresponda) por la correspondiente probabilidad de ocurrencia.

De forma genérica, cuando existen nudos en el momento del tiempo posterior al analizado, independientemente de que dichos nudos sean decisionales o aleatorios:
Е1 = (E2 x p2) +...+ (En x pn), donde
= 1
En el caso de que no existieran nudos posteriores porque se estuviera a final del camino:

Se tendría de forma genérica:
E1 = (VAN1 x p1) +...+ (VANn x pn), donde
= 1
El cálculo de los valores esperados asociados a cada nudo se llevará a cabo empezando por lo más alejado en el tiempo, es decir, los que se encuentran en el período inmediatamente anterior al final del camino, y se irá retrocediendo hasta obtener el valor esperado del nudo 1, situado en la raíz del árbol, cuyo valor será el valor esperado del VAN que se corresponda con la mejor de las alternativas planteadas, y que, en principio, deberá ser la alternativa elegida.
Para el caso del árbol de decisión diseñado en el apartado anterior la valoración de los correspondientes nudos sería la que aparece detallada en la tabla siguiente:

La alternativa elegida, en este contexto en el que no se tiene en cuenta el riesgo, será aquella que nos proporcione la mayor rentabilidad, es decir, la tenga el mayor valor esperado del VAN.
Teniendo en cuenta el riesgo en el análisis
Cuando se introduce el riesgo en el análisis, la decisión no debe estar basada únicamente en el rendimiento esperado, sino que hay que tener en cuenta también el riesgo asociado a cada una de las alternativas disponibles.
A partir de los valores esperados de rentabilidad o esperanza matemática de rentabilidad E(VAN) para cada una de las alternativas analizadas, se puede calcular el riesgo asociado a cada una de ellas mediante el cálculo de la varianza y la desviación típica.
Cuando se incluye el riesgo en el análisis hay que determinar la desviación típica, calculada como la raíz cuadrada de la varianza, de las distintas alternativas entre las que se debe llevar a cabo la elección. Para ello, solo se tendrán en consideración, en cada una de ellas, aquellos caminos que sean válidos.
σ2 [VAN]i =
[(VANj - Εi+1) x p], i = 1.. m; j = 1..n
Donde “i” son las distintas alternativas entre las que hay que tomar la decisión, “j” son los distintos caminos posibles válidos de la estrategia “i” (los caminos no válidos no se tienen en cuenta), y “p” es la multiplicación de las probabilidades que se encuentran a lo largo del correspondiente camino válido.
A efectos de realizar el análisis comparativo entre las distintas alternativas en función del valor esperado del VAN, como medida de rentabilidad del proyecto de inversión, y el riesgo, se utiliza el coeficiente de variación (cociente entre la desviación típica y la esperanza matemática), que es una medida del riesgo asumido por unidad de ganancia esperada, siendo la alternativa preferible aquella cuyo coeficiente de variación tome el menor valor. Por tanto, en este nuevo contexto, para cada una de las posibles alternativas habría que calcular tanto su rentabilidad, como su desviación típica y el coeficiente de variación, tal y como aparece resumido en la siguiente tabla:

En el caso particular del ejemplo analizado habría que determinar, para cada uno de las estrategias posibles:

El análisis, incluyendo el riesgo, se puede completar considerando que los flujos de caja generados en los distintos momentos de tiempo en cada una de las alternativas (o algunas de las variables que los determinan) no son variables ciertas, sino variables aleatorias que se ajustan a alguna de las distribuciones de probabilidad continúas, y a partir de ahí se pueden utilizar modelos de simulación, como es el caso de la simulación de Montecarlo.
Caso práctico
Una empresa del sector de la distribución alimenticia está considerando la posibilidad de abrir un nuevo centro, planteándosele la duda de si abrir un supermercado a las afueras de la ciudad, o una tienda de barrio en el centro de la misma. Tras la realización de un estudio de mercado sobre el posible comportamiento de la demanda se han obtenido los siguientes resultados:
Si se opta por el supermercado a las afueras de la ciudad, y la acogida de los clientes es buena, entonces se podrían obtener durante el primer año unos flujos netos de caja de 130.000 euros, mientras que si la acogida es regular los flujos netos de caja se reducirían a 60.000 euros. No obstante, durante el segundo año si la acogida del primer año fue buena, los flujos netos de caja podrían ascender a 160.000 euros, si la demanda es alta durante este período, o de 120.000 euros, si la demanda es baja. Mientras que si durante el primer año la acogida fue regular, si durante el segundo año la demanda es alta los flujos netos de caja podrían ascender a 85.000 euros, y a 50.000 euros, si la demanda se reduce. La probabilidad de que la acogida sea favorable el primer año es del 60 %, mientras que la probabilidad de que la demanda sea alta el segundo año, cuando la acogida del primer año ha sido favorable, es del 80 %, y del 25 %, cuando la acogida del primer año fue regular. La inversión que debería llevar a cabo la empresa para la puesta en marcha del supermercado asciende a 80.000 euros.
Si se opta por abrir una tienda de barrio en el centro de la ciudad y la acogida de los clientes es buena, entonces se podrían obtener durante el primer año unos flujos netos de caja de 45.000 euros, mientras que si la acogida es regular los flujos netos de caja se reducirían a 25.000 euros. No obstante, durante el segundo año si la acogida del primer año fue buena, los flujos netos de caja podrían ascender a 55.000 euros, si la demanda es alta durante este período, o de 30.000 euros, si la demanda es baja. Mientras que si durante el primer año la acogida fue regular, si durante el segundo año la demanda es alta los flujos netos de caja podrían ascender a 34.000 euros, y a 18.000 euros, si la demanda es baja. La probabilidad de que la acogida sea favorable el primer año es del 65 %, mientras que la probabilidad de que la demanda sea alta el segundo año cuando la acogida del primer año ha sido favorable es del 70 %, y del 25 %, cuando la acogida del primer año fue regular. La inversión que debería llevar a cabo la empresa para la puesta en marcha de la tienda de barrio asciende a 30.000 euros.
Se desea determinar cuál es la decisión óptima según el criterio del Valor Actual Neto esperado, si se utiliza una tasa de descuento del 10 %. Así como si la decisión óptima seguiría siendo la misma si en el análisis se tuviera en cuenta el riesgo.
Solución:
Los distintos casos posibles que se pueden plantear son los siguientes:
| Decisión inicial | Acogida en el año 1 | Evolución de la demanda en el año 2 | Caminos posibles |
| Supermercado | Buena Acogida (BA) | Demanda Alta (DA) | C1 |
| | | Demanda Baja (DB) | C2 |
| | Acogida Regular (AR) | Demanda Alta (DA) | C3 |
| | | Demanda Baja (DB) | C4 |
| Tienda Barrio | Buena Acogida (BA) | Demanda Alta (DA) | C5 |
| | | Demanda Baja (DB) | C6 |
| | Acogida Regular (AR) | Demanda Alta (DA) | C7 |
| | | Demanda Baja (DB) | C8 |
El planteamiento del problema quedaría reflejado en árbol de decisión que se muestra en la Figura 1:

Los flujos netos de caja generados en cada una de las opciones posibles, que determinan los distintos caminos aparecen recogidos en la siguiente tabla:
| | FNC0 | FNC1 | FNC2 | VAN |
| Caso 1 | -80 | 130 | 160 | 170,41 |
| Caso 2 | -80 | 130 | 120 | 137,36 |
| Caso 3 | -80 | 60 | 85 | 44,79 |
| Caso 4 | -80 | 60 | 50 | 15,87 |
| Caso 5 | -30 | 45 | 55 | 56,36 |
| Caso 6 | -30 | 45 | 30 | 35,7 |
| Caso 7 | -30 | 25 | 34 | 20,83 |
| Caso 8 | -30 | 25 | 18 | 7,6 |
| Nota: Los resultados aparecen en miles de euros. |
A continuación, se calcula el Valor Actual Neto (VAN) de los distintos casos posibles que pueden presentarse:

Una vez conocido el VAN de los caminos finales, hay que calcular el valor esperado de cada uno de los nudos. Para ello se parte de los valores actuales netos de los caminos finales, y en último lugar, se determinará el valor del nudo inicial. Si utilizamos hojas de cálculo para la resolución del problema planteado puede ser de utilidad diseñar la siguiente tabla:
| | VAN | Prob. | | E(VAN) | Prob. | | E(VAN) |
| Caso 1 | 170,41 | 80% | 136,33 | | | | |
| Caso 2 | 137,36 | 20% | 27,47 | | | | |
| Nudo 4 | | | | 163,8 | 60% | 98,28 | |
| Caso 3 | 44,79 | 25% | 11,2 | | | | |
| Caso 4 | 15,87 | 75% | 11,9 | | | | |
| Nudo 5 | | | | 23,1 | 40% | 9,24 | |
| Nudo 2 | | | | | | | 107,52 |
| Caso 5 | 56,36 | 70% | 39,45 | | | | |
| Caso 6 | 35,7 | 30% | 10,71 | | | | |
| Nudo 6 | | | | 50,17 | 65% | 32,61 | |
| Caso 7 | 20,83 | 25% | 5,21 | | | | |
| Caso 8 | 7,6 | 75% | 5,7 | | | | |
| Nudo 7 | | | | 10,91 | 35% | 3,82 | |
| Nudo 3 | | | | | | | 36,43 |
| Nudo 1 | | | | | | | 107,52 |
| Nota: Resultados en miles de euros. |
El detalle de los cálculos realizados en la tabla anterior, siguiendo el mismo esquema del árbol de decisión, aparece recogido en la siguiente tabla:

El árbol de decisión, una vez incorporados todos los valores actuales netos esperados, y por tanto, ya valorado, sería el que se muestra en la Figura 2:

Por lo que, en este caso, la decisión óptima sería abrir un supermercado a las afueras de la ciudad puesto que es la alternativa que proporciona el valor actual neto más elevado, 107,52 miles de euros, frente a los 36,43 miles de euros que proporciona la alternativa de abrir una tienda de barrio en el centro de la ciudad.
Pero hay que tener en cuenta que la decisión no ha de basarse exclusivamente en el rendimiento esperado, sino que también hay que tener en cuenta el riesgo del proyecto.
Para ello, es preciso determinar la desviación típica de cada una de las alternativas entre las que hay que tomar la decisión. La siguiente tabla nos puede facilitar los cálculos a realizar cuando trabajamos con hojas de cálculo.
| | VAN | E(VAN) | Prob. | VAN - E(VAN) | V(VAN) | D(VAN) |
| Caso 1 | 170,41 | | 0,48 | 62,89 | | 1.898,63 | |
| Caso 2 | 137,36 | | 0,12 | 29,83 | | 106,81 | |
| Caso 3 | 44,79 | | 0,1 | -62,73 | | 393,47 | |
| Caso 4 | 15,87 | | 0,3 | -91,65 | | 2.520,08 | |
| Supermercado | | 107,52 | | | | 4.918,99 | 70,14 |
| Caso 5 | 56,36 | | 0,46 | 19,94 | | 180,87 | |
| Caso 6 | 35,7 | | 0,2 | -0,72 | | 0,1 | |
| Caso 7 | 20,83 | | 0,09 | -15,6 | | 21,29 | |
| Caso 8 | 7,6 | | 0,26 | -28,82 | | 218,07 | |
| Tienda Barrio | | 36,43 | | | | 420,33 | 20,5 |
| Nota: Resultados en miles de euros. |
El detalle de las fórmulas de cálculo sería el siguiente:
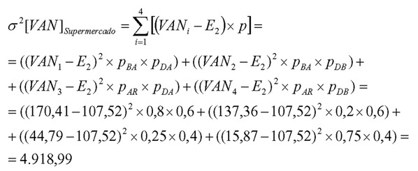
Varianza de la alternativa de abrir un supermercado en las afueras de la ciudad:

Desviación típica σ (VAN) Supermercado =
= 70,14 miles de euros
Varianza de abrir una tienda de barrio en el centro de la ciudad:

Desviación típica σ (VAN) Tienda = 
Así, mientras la alternativa de abrir un supermercado a las afueras de la ciudad tiene una desviación con respecto a su valor medio (medida por su desviación típica) de 4.918,99 euros, la alternativa de abrir una tienda de barrio en el centro de la ciudad tiene una dispersión de solo 420,33 euros.
Por tanto, si se calcula el coeficiente de variación asociado a cada una de las alternativas se obtiene que:

De esta forma, mientras que la alternativa de abrir un supermercado a las afueras de la ciudad tiene una dispersión por unidad de ganancia esperada de 0,65 unidades; este es de 0,56 unidades en el caso de la alternativa de abrir una tienda de barrio. Por lo que, en este caso la alternativa preferible sería la que presenta menor coeficiente de variación, es decir, la alternativa de abrir una tienda de barrio en el centro de la ciudad.
Recuerde que...
- • Permite plantear de forma simplificada los problemas de decisiones, comprender las distintas alternativas de planificación, obteniéndose la secuencia de decisiones óptimas que se deberían llevar a cabo.
- • Elementos de diseño de un árbol: nudos decisionales, nudos aleatorios y arcos o ramos.
- • Puede contener tantos nudos decisionales y aleatorios como se desee, que darán lugar a los distintos caminos a analizar, no existiendo limitación en la duración del horizonte temporal.
- • Valoración de un árbol: sin tener en cuenta el riesgo en el análisis o teniendo en cuenta este análisis.