Concepto
Se denomina base de cálculo al número de días utilizado para aplicar el interés en una operación financiera. La utilización de los índices de tipos de interés, depende de las convenciones de los mercados y de las bases de cálculo de común utilización en Europa, en función de los instrumentos utilizados. Una diferenciación clara se encuentra en el plazo de las operaciones, ya sea corto plazo (hasta 12 meses), o largo plazo (más de un año).
Las bases más usadas se corresponden con las expresiones Actual/360,Actual/365 y Actual/Actual, utilizando la expresión anglosajona Actual para designar el número real de días durante los cuales va a estar una inversión o una financiación devengando intereses.
Operaciones de corto plazo
Utilizan las siguientes bases:
Base A/360
Se utiliza la fórmula del interés simple, pero considerando que el año tiene 360 días en lugar de 365 o 366. Es una práctica habitual en todos los mercados europeos, incluido el inglés, y se aplica al descuento de letras en subasta, a las disposiciones de préstamos que realizan las empresas, y a las liquidaciones trimestrales o mensuales de los préstamos hipotecarios.
El interés a pagar se obtendría con la fórmula:

Siendo: C: capital final.
E: efectivo invertido.
r: tipo de interés aplicado en base anual.
t: tiempo en días que dura la inversión.
Base A/365
Se utiliza la fórmula del interés simple, considerando que el año tiene 365 días, aunque sea bisiesto y tenga 366. Es una práctica habitual en todos los mercados europeos, incluido el inglés, y se aplica en la comercialización a clientes de imposiciones a plazo, certificados de depósito y letras al descuento.
El interés a pagar se obtendría con la fórmula:

Siendo: C: capital final.
E: efectivo invertido.
r: tipo de interés aplicado en base anual.
t: tiempo en días que dura la inversión.
Cambio de base
Cuando se realizan operaciones financieras en corto plazo, empleando la ley financiera de capitalización simple, y tal y como hemos indicado en el punto anterior, las entidades financieras utilizan en unos casos el año natural (365 días o 366 días si es bisiesto), y, en otros, el denominado año comercial (360 días). La expresión del interés a pagar en los dos casos sería la siguiente:

En realidad, esto no es otra cosa que una añagaza por parte de las entidades de crédito para cobrar más intereses a los demandantes de un préstamo, poniendo un denominador más pequeño que haga que los intereses sean mayores. Sin embargo, cuando paga intereses por los depósitos sí que utiliza el año natural, y lógicamente paga la cantidad justa.
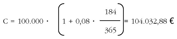
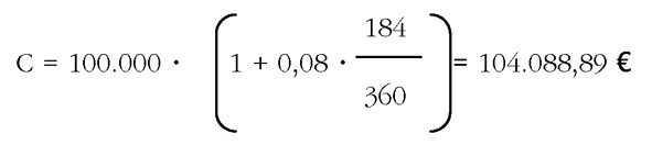
Ejemplo: Una empresa pide un préstamo de 100.000 euros durante seis meses
(desde el 1 de julio de 2009 hasta el 1 de enero de 2010), al 8 % de interés.
Si se hiciera por el año natural, pagaría:

Sin embargo, si lo hiciera por el año comercial:

Esta pequeña trampa suele suponer unos beneficios adicionales a dichas entidades, y ha dado origen a lo que se llama el cambio de base, en los mercados financieros, existiendo entidades que cotizan en “365”, y entidades que lo hacen en “360”. Tradicionalmente se intenta comprar un activo de renta fija en base 360, y venderlo a los clientes en base 365, “quedándose con la base”, expresión esta muy usual en las mesas de tesorería.
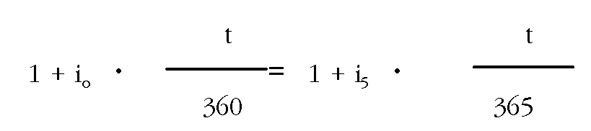
Asimismo, se suele establecer una equivalencia muy clara entre “tipos 365” y “tipos 360”, sin más que igualar ambas expresiones:

Simplificando:

o lo que es lo mismo:

Ejemplo: Un 7 % en base 365 equivaldría a:
i0 = 0,9863 x 0,07 = 6,9041 %
Un 7 % en base 360 equivaldría a:
i5 = 1,01388 x 0,07 = 7,09716 %
Operaciones de largo plazo
Utilizan las siguientes bases:
Base Actual/Actual
El cupón corrido se calculará utilizando la siguiente fórmula:

siendo:
t: número de días naturales transcurridos desde el último pago de cupón hasta la fecha de transmisión (se incluye el día del último pago, y se excluye el día de la transmisión)
s: número de días naturales transcurridos desde el último pago de cupón hasta el próximo pago de cupón (se incluye el día del último pago, y se excluye el día del próximo pago)
c: cupón anual del bono
n: número de pagos de cupón cada año
Por ejemplo, si queremos calcular el cupón corrido de un bono con cupón del 5 % anual, que pagó el último cupón el 17 de junio de 2008, y hoy es 30 de abril de 2009, el cupón corrido será:

si el último pago de cupón hubiera sido el 14 de enero de 2008, y hoy fuera 30 de abril de 2008, el cupón corrido sería:

por último, si el cupón del caso anterior fuera semestral, y el período de devengo durante el semestre:

En lo que respecta al cálculo del TIR, se asume el convenio de considerar todos los años siguientes como si tuvieran 365 días, tanto en lo que respecta a los días transcurridos, como en lo relativo a la base. De esta manera, el efecto del año bisiesto se minimiza, puesto que cuando el año tiene 366 días, correría un día más en numerador y en denominador, con lo que el efecto final sería mínimo. Por tanto, la fórmula del TIR Actual / Actual es:

siendo: Qi : flujo del período “i”, ya sea cupón o amortización de
principal.
d: número de días naturales que median entre la fecha de
ejecución de la operación y la fecha de pago del primer
cupón.
B: los días correspondientes al período de devengo del cupón
en curso, es decir, 365, 366, 181, 183, 184, etc....
Por ejemplo, el valor actual o precio de un bono a 10 años adquirido el 26 de mayo de 2009 y con vencimiento 10 de enero de 2019, con cupón anual del 5 %, estando el mercado secundario de tipos a ese plazo al 5,35 % anual, sería:

Base Actual/365
El cupón corrido se calculará utilizando la siguiente fórmula:

siendo:
t: número de días naturales transcurridos desde el último pago
de cupón hasta la fecha de transmisión (se incluye el día del
último pago, y se excluye el día de la transmisión).
c: cupón anual del bono.
Por ejemplo, si queremos calcular el cupón corrido de un bono con cupón del 5 % anual, que pagó el último cupón el 17 de junio de 2008, y hoy es 30 de abril de 2009, el cupón corrido será:

si el último pago de cupón hubiera sido el 14 de enero de 2008, y hoy es 30 de abrill de 2008, el cupón corrido sería:

por último, si el cupón del caso anterior fuera semestral:

Evidentemente es menos precisa que la base A/A al no considerar ni los días reales que hay en cada período ni los años bisiestos.
En lo que respecta al cálculo del TIR, se asume el convenio de considerar como período transcurrido el número de días naturales de cada año, en lo que respecta a los días transcurridos, mientras que en la base, se consideran siempre divisores de 365 días, esto es, 91,25 para trimestres, 182,5 para semestres, 365 para años, etc. Por tanto, la fórmula del TIR Actual / 365 es:

siendo: Qi : flujo del período “i”, ya sea cupón o amortización de principal.
d: número de días naturales que median entre la fecha de
ejecución de la operación y la fecha de pago del primer
cupón.
B: los días correspondientes al período de devengo del cupón
en curso, como divisor de 365, es decir, 365, 182,5, 91,25
etc.
ti: número de días naturales del período “i”.
Si queremos calcular el valor actual o precio del bono que habíamos puesto en el ejemplo anterior, pero usando la base A/365, tendríamos:

Como vemos, el precio de un bono utilizando la base A/A es superior al precio de un bono utilizando la base A/365. Esta diferencia era usada por los intermediarios financieros en la década de los noventa para sacar diferenciales sin variar el precio. Compraban los bonos en base A/365 en el mercado español, donde usaba esta base, y los vendían, simultáneamente, en los mercados internacionales, donde se usaba la base A/A. A título de ejemplo, para una operación de 10 millones de euros, el beneficio era de 2.221 €, sin correr ningún riesgo; si la operación hubiera sido de 100 millones (muy habitual en los mercados mayoristas), el beneficio hubiera sido de 22.212 €.
Base 30/360
Se consideran los meses de 30 días y el año de 360. El efecto de la utilización de esta base es ignorar los días bisiestos, de manera que una operación contratada, por ejemplo a 3 años consideraría un número de días de 3 x 360 como período de cálculo, al margen de si alguno de los tres años es o no bisiesto. Evidentemente, el objetivo es lograr operar de manera más sencilla.
Esta base, que se ha usado y todavía se usa sobre todo en Gran Bretaña, considera que si, por ejemplo, queremos calcular el número de días que van desde el 25 de mayo hasta el 25 de agosto de 2009, se considera que han pasado tres meses, y por tanto, el número de días sería 90 (3 · 30); lógicamente, en el divisor se considera que el año tiene 360 días, por lo que el cálculo de intereses de un depósito de 10.000 euros en ese plazo al 4 % de interés, sería:

Sin embargo, si hubiéramos utilizado la base A/365, considerando el número real de días, el cálculo habría sido:

Como vemos, la diferencia es pequeña, pero en cantidades importantes puede tener un cierto valor.
Si el inicio del período de interés es un día distinto del 30 o el 31 de un mes, y el final de dicho período de interés fuera el día 31 de un mes, entonces se consideraría que el último mes tiene 30 días en vez de 31, de manera que una operación del 25 de mayo al 31 de agosto de 2009 se correspondería con dos meses completos (junio y julio), 29 días de agosto (se considera que tiene treinta días, pero en cualquier operación se considera el primer día y no el último, por lo que el 30 no se consideraría), que supondrían 89 días y 6 días de mayo, es decir, del 25 al 31. Por tanto, la operación tendría por numerador 95 días en el tiempo y 360 días en el denominador como base.
Para aclarar más aún, consideremos tres operaciones:
- — Del 1 de mayo al 30 de mayo de 2009.
- — Del 1 de mayo al 31 de mayo de 2009.
- — Del 1 de mayo al 1 de junio de 2009.
De acuerdo con el método de cálculo anglosajón, la primera operación tiene 29 días computables, la segunda 30 días computables, y la tercera también 30 días computables. Es lógico, desde el momento en el que no se considera la última fecha, y el día 31 no existe en su modelo, por lo que venza el 31 o el 1, es lo mismo, solo computan del 1 al 30 ambos inclusive.
Base 30E/360
Se consideran los meses de 30 días y el año de 360, al igual que en el caso anterior, pero se cambia el sistema a fin de mes. Si consideramos el último ejemplo del punto anterior, el cómputo se haría de la siguiente forma:
- — Del 1 de mayo al 30 de mayo de 2009........ 29 días.
- — Del 1 de mayo al 31 de mayo de 2009........ 29 días.
- — Del 1 de mayo al 1 de junio de 2009........... 30 días.
Como vemos, esta versión europea de la base 30/360, no considera un día adicional el vencimiento de los meses que tienen 31 días. Se usa sobre todo en el mercado de eurobonos.
Uso de las bases de cálculo
Evidentemente, el uso de una base u otra depende de cada mercado y de sus órganos reguladores. Por ello, es importante conocer la base de cálculo, pues de ella va a depender el cálculo de intereses en una inversión o el coste en una financiación.
A título no exhaustivo, pueden citarse los siguientes ejemplos:
- — Depósitos interbancarios: En España, Alemania, Estados Unidos y en general en el Euromercado, se utiliza la base A/360. En Gran Bretaña y Japón, se utiliza la base A/365.
- — Letras del Tesoro: En España y Estados Unidos se usa la base A/360. En Gran Bretaña se usa la base A/365.
- — Repos de Deuda: En España, Alemania y Estados Unidos se utiliza la base A/360. En Gran Bretaña y en Japón se utiliza la base A/365, aunque en Japón para los repos internacionales se usa la base A/360.
- — Bonos: En España y Estados Unidos se usa la base A/A. en Gran Bretaña se usa la base A/365 y en Alemania y en el Euromercado, se usa la base 30E/360.
- — Swaps de tipo de interés: En España y en el Euromercado se usa A/360 para la parte a interés variable y 30/360 para la parte a interés fijo.
Recuerde que...
- • Las bases más usadas se corresponden con las expresiones Actual/360, Actual/365 y Actual/Actual.
- • Bases para operaciones a corto plazo: Base A/360 y Base A/365.
- • Bases para operaciones a largo plazo: Base Actual/Actual, Base Actual/365, Base 30/360 y Base 30E/360.
- • El uso de una base u otra depende de cada mercado y de sus órganos reguladores.
- • De la base de cálculo va a depender el cálculo de intereses en una inversión o el coste en una financiación.