Concepto
El indicador de amplitud (conocido como Range Indicator) fue creado por Jack Weinberg y publicado en la revista Technical Analysis of Stocks & Commodities Magazine de junio de 1995. Según este indicador, la amplitud muestra el grado de permanencia de los precios en una dirección. De esta manera cuanto menor sea la amplitud (y por tanto la distancia entre precios), más consistente será la tendencia y a la inversa.
Interpretación
La amplitud definida por este oscilador resulta de la diferencia entre dos rangos:
- — La diferencia entre el máximo y el mínimo de la sesión (“rango intradía”).
- — La diferencia entre el precio de cierre de una sesión y el precio de cierre de la inmediata precedente (“rango interdía”).
El indicador compara el rango “interdía” con el rango “intradía” de la siguiente manera:
- — Si el rango intradía supera al interdía, la negociación del mercado se considera desmesurada y el oscilador presentará valores elevados. La tendencia está próxima a agotarse.
- — Si el rango interdía supera al rango intradía, la negociación del mercado se está ajustando y el oscilador presentará valores bajos: Atención a la posibilidad de un cambio de tendencia.
Construcción
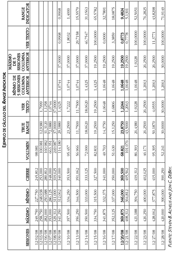
Dada la complejidad de este oscilador, haremos uso de la siguiente tabla:

La construcción del oscilador comprende los siguientes pasos:
- — En las cinco primeras columnas se colocan los datos de la sesión en curso: fecha, máximo, mínimo, cierre y volumen de negociación. Para el caso que nos ocupa seleccionamos la sesión del 20 de diciembre de 2008.
- — En la sexta columna se calcula el True Range a partir del segundo día. El True Range es el máximo de las siguientes diferencias: máximo menos mínimo de la sesión, máximo de la sesión menos cierre anterior o cierre anterior menos mínimo de la sesión. Por tanto, el máximo de (369, 875 – 346,000), (369,875 – 350,000) o (350,000 – 346,000). El resultado es 23,8750.
- — En la séptima columna se determina lo siguiente: si el precio de cierre de la sesión en curso es mayor que el cierre anterior entonces, se divide el True Range por la diferencia entre ambos precios de cierre. En caso contrario, el resultado es el True Range. En el ejemplo, dado que se cumple la primera condición, el resultado es, 23,8750 / (369,500 - 350,000) = 1,2244, como se muestra en la tabla.
- — En la octava columna se elije el menor de las cinco últimas sesiones de negociación (la actual y las cuatro precedentes), es decir, del 14 al 20 de diciembre: 18,0620, 19,2500, 1,0648, 1,6806 y 1,2244. El resultado es 1,0648.
- — En la novena columna se selecciona el máximo de los anteriores. Por tanto, 19,2500.
- — En la décima columna se aplica la siguiente condición: Si la diferencia entre la columna novena y la columna octava es mayor que cero, se aplica la siguiente expresión: (dato de la columna séptima menos columna octava) / (columna novena menos columna octava) multiplicada por 100. Si la diferencia entre la columna novena y la columna octava es menor que cero, entonces la expresión a utilizar es la siguiente: columna séptima menos columna octava multiplicado por 100. Numéricamente: como 19,2500 – 1,0648 es mayor que cero, entonces: [(1,2244 – 1,0648) / (19,2500 - 1,0648)] x 100= 0,8773.
- — Por último, en la undécima columna se determina el Range Indicador, como la media móvil exponencial de 3 sesiones de la columna anterior, por tanto, 9,4824 de la tabla adjunta. En caso de iniciar la serie y dado que el primer dato calculado de la serie en la octava columna no se corresponde con el primero de la serie de la novena columna (es decir, hasta la tercera sesión a partir de la cual puede calcularse ya directamente la media móvil), podría utilizarse la siguiente alternativa: multiplicar el resultado de la octava columna de la sesión por 0,5 y sumar el resultado al dato de la columna novena previo, multiplicado también por 0,5. Tal es el caso de la sesión del 13 de diciembre. El Range Indicador así expuesto sería: 29,7158x0,5 + 1,4000x0,5 = 15,5579.
Inconvenientes
Como en otros osciladores de amplitud, necesita ser completado sobre todo para períodos intermedios de negociación en los cuales hay precios que distorsionan los resultados, por ejemplo, en períodos de suspensión del valor o escasa liquidez.
Riesgo intradía
Riesgo provocado a consecuencia de los importantes saldos deudores y acreedores que en los mercados más dinámicos pueden llegar a acumularse entre dos liquidaciones sucesivas.
Recuerde que...
- • La amplitud definida por este oscilador resulta de la diferencia entre el máximo y el mínimo de la sesión (“rango intradía”) y la diferencia entre el precio de cierre de una sesión y el precio de cierre de la inmediata precedente (“rango interdía”).
- • Si el rango intradía supera al interdía, la negociación del mercado se considera desmesurada y el oscilador presentará valores elevados y si el rango interdía supera al rango intradía, la negociación del mercado se está ajustando y el oscilador presentará valores bajos.