Concepto
En análisis económico, la Relación Marginal de Sustitución expresa la tasa subjetiva a la cual el individuo está dispuesto a cambiar los bienes X e Y permaneciendo indiferente.
Geométricamente, la RMS expresa la menor pendiente de la curva de indiferencia:

Un valor n para la RMSYX expresa que el individuo estaría dispuesto a ceder (o ganar) n unidades del bien Y a cambio de ganar (o ceder) 1 de X.

Cuando las curvas de indiferencia son neoclásicas y por tanto estrictamente convexas, la RMSyX se dice que es decreciente con el bien X (es decir que disminuye a medida que X aumenta): 
Esto es así para reflejar el hecho de que a medida que aumentan las posesiones de X (que se hace un bien abundante en términos relativos) y se reducen las de Y (que se hace más escaso en términos relativos), con lo que pasa a darle mayor valoración al bien Y (escaso) respecto a la situación inicial y la RMSyX pasa a hacerse menor. Esto solo sucederá cuando la curva de indiferencia expresiva de las preferencias de los consumidores sea estrictamente convexa.
Efectivamente, por ejemplo, si inicialmente la RMSyX vale 2, el agente económico entregaría 2 unidades de Y a cambio de 1 unidad de X permaneciendo indiferente. Si posteriormente la RMSyX vale menos, por ejemplo 1, esto significa que ahora entregaría solamente 1 unidad de Y por 1 de X permaneciendo indiferente, demostrando que ahora valora más Y que antes, pues está dispuesto a entregarla en menor cantidad a cambio de la misma unidad de X. La tasa de intercambio ha cambiado porque las posesiones que el individuo tiene de los bienes X e Y también lo ha hecho y a medida que ha ido cediendo unidades del bien Y, ha ido valorando también más este bien en términos relativos (por eso desciende su RMSyX).

Excepcionalmente, puede también suceder que las curvas de indiferencia no cumplan algunas de las propiedades típicas de las curvas de indiferencia neoclásicas, como sucede cuando las curvas de indiferencia son rectas horizontales (porque el bien X resulta totalmente indiferente al consumidor), con RMSyX = 0 y constante en todos los puntos o verticales (porque el bien Y resulta totalmente indiferente al consumidor), con infinita RMSyX, o bien rectas decrecientes con RMSyX constante e independiente de la abundancia o escasez de los bienes X e Y.
Existe, además, otra expresión de la RMSyX obtenida a partir de la función de Utilidad: U = U(x,y). Como la Utilidad es constante en una curva de indiferencia,

En el equilibrio, además debe cumplirse que la menor pendiente de la curva de indiferencia (RMSyX) debe igualarse con la menor pendiente de la Recta de Balance o Restricción Presupuestaria, (Px/Py), es decir que:
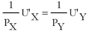
o bien que
, expresión que se conoce como Ley de la Igualdad de las Utilidades Marginales Ponderadas por sus Precios.
Esta expresión, de nuevo, solo se cumple en equilibrio cuando las curvas de indiferencia son neoclásicas y cumplen todas sus propiedades. Si las curvas son líneas rectas, por ejemplo, pueden darse soluciones de esquina, en las que existe un equilibrio, pero con
La RMS en una función de utilidad Cobb Douglas
Si partimos de una función de Utilidad de tipo Cobb Douglas, U = AXαYβ, la RMSyx resultará:
, que cumple las propiedades previstas (decreciente con X por ejemplo).
Recuerde que...
- • Cuando las curvas de indiferencia son neoclásicas y por tanto estrictamente convexas, la RMS se dice que es decreciente con el bien X.