Métodos de análisis
Uno de los métodos de análisis de series temporales consiste en su descomposición, estimando las componentes de tendencia, cíclica y/o estacional. La primera que se suele calcular es la tendencia, para lo que se han desarrollado diversos métodos. Entre ellos, los más sencillos son los métodos lineales de "filtrado" y, especialmente, los de promedio móvil o media móvil. La idea básica consiste en "filtrar" o "suavizar" los efectos de componentes distintas de la tendencia promediando cada valor de la serie con valores inmediatamente anteriores y posteriores. Así, si Y(t) es la serie original, la serie de promedios móviles se puede calcular como:

Orden de las medias móviles
Para diversos valores de k. Al número de instantes que se utilizan en el promedio se le denomina orden de las medias móviles. En el ejemplo anterior, el orden es impar, por lo que cada observación se promedia con el mismo número de valores anteriores y posteriores. Si el orden es par, no se puede utilizar el mismo número de datos antes y después de uno dado, originando cierta asimetría en el cálculo. Este problema se puede resolver calculando un promedio móvil centrado en la serie, lo cual se logra obteniendo el promedio móvil de cada dos medias consecutivas ya obtenidas:

El conjunto de estas medias forma una serie más suave, ya que compensa las variaciones estacionales e irregulares, y se considera como la componente de tendencia obtenida por promedio móvil. Este procedimiento es muy simple, pero presenta como desventaja que no es útil para extrapolar resultados.
La primera elección que debe hacerse es el orden de la media móvil. Cuanto mayor sea este, más suave será la serie resultante, al estar promediando más valores; por el contrario, se perderán más observaciones, tanto al inicio como al final del período muestral. Cuando existe componente estacional, el orden del promedio móvil suele coincidir con el número de observaciones anuales con el fin de que la serie resultante tenga la menor estacionalidad posible.
Así, si la serie fuese mensual (12 observaciones) se suele utilizar como promedio móvil centrado la expresión:

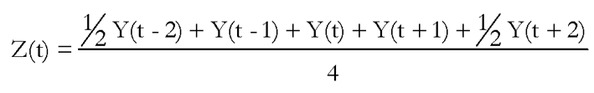
Si la serie original fuese valores trimestrales (4 observaciones anuales), la expresión de la serie de promedio móvil centrado es:

Recuerde que...
- • Consiste en "filtrar" o "suavizar" los efectos de componentes distintas de la tendencia promediando cada valor de la serie con valores inmediatamente anteriores y posteriores.