Descripción
El Gobierno, como cualquier otro agente económico, está sujeto a la restricción presupuestaria que establece que en cualquier periodo los gastos que realiza deben ser iguales a los recursos que capta. A su vez, estos recursos puede obtenerlos a través de tres vías alternativas:
- - Los recursos tributarios (T), que obtiene a través de la recaudación de impuestos y tasas.
- - La emisión de títulos de Deuda pública (▵D) que vende al sector privado de la economía a través de los mercados financieros. El Gobierno debe pagar un interés por estos recursos.
- - Los préstamos del Banco Central, o monetización del déficit (▵M). En este caso el Banco Central concede un préstamo directamente al Gobierno, a un tipo de interés inferior al de mercado, mediante la creación de base monetaria.
Llamando G al gasto público total, esta restricción puede escribirse de la siguiente forma:
G = T + ▵D + ▵M
Formas de financiación del déficit
Reordenando los términos, esta expresión recoge las dos formas de financiación del déficit posibles: mediante emisión de Deuda pública o mediante el recurso al Banco Central.
Desde el punto de vista del Gobierno, la financiación monetaria del déficit tendría ventajas importantes ya que el coste sería más reducido y las autoridades fiscales no deberían someterse a la inspección de sus cuentas públicas, que realizarán los mercados financieros antes de adquirir sus títulos de Deuda. Sin embargo, esta forma de financiación del déficit, además de promover conductas fiscales menos cuidadosas, dificulta la principal responsabilidad del Banco Central, que es el control de la política monetaria y de la inflación. De hecho, muchos episodios históricos de hiperinflación están relacionados con estas prácticas. Entre otras razones, esto ha hecho que muchos Bancos Centrales sean actualmente independientes del Gobierno o que, incluso, tengan legalmente prohibido -como en el caso de la Unión Europea- financiar directamente cualquier déficit público.
La forma "ortodoxa" de financiar el déficit es, por tanto, la emisión de nuevos títulos de Deuda. A este respecto, es importante señalar dos cuestiones adicionales.
En primer lugar, la emisión de Deuda está limitada también por lo que podríamos denominar la "restricción presupuestaria intertemporal del Gobierno", que implica que las deudas que se contraen en un momento determinado deben ser satisfechas en periodos posteriores. Dicho de otra forma, que el déficit público actual debe llevar aparejado en el futuro un superávit equivalente que permita amortizar la Deuda.
En la realidad, sin embargo, la restricción a la que se enfrentan las autoridades públicas es menos fuerte, ya que el periodo para devolver la Deuda es infinito: pueden sustituir la Deuda que vence por nuevas emisiones de Deuda. Por ello, la restricción se traduce más bien en evitar una dinámica explosiva de la Deuda, que se produciría cuando la relación Deuda pública/PIB creciese de forma indefinida. Se dice entonces que la Deuda pública es "sostenible" (se cumple la restricción intertemporal) cuando esta relación se encuentra estabilizada en un nivel que se considera razonable (por ejemplo, en la Unión Europea se ha fijado un límite del 60%).
Esta restricción, aunque más laxa, también impone límites al déficit público en que puede incurrir el Gobierno a lo largo del tiempo, ya que la evolución de la relación Deuda/PIB depende de los tres factores siguientes:
- a) El pago por intereses de la Deuda pública vigente en el periodo anterior, corregido por el crecimiento de la economía (efecto "bola de nieve"). Aunque el Gobierno equilibrase el resto de gastos con sus ingresos fiscales, el pago de estos intereses supondría la necesidad de emitir más Deuda. Sin embargo, esto no tendría por qué suponer un aumento de la relación Deuda/PIB (que es la magnitud relevante, no el nivel absoluto de Deuda si el crecimiento económico compensase), mediante un aumento del denominador, este factor.
- b) Distintos ajustes en la valoración del déficit o la Deuda (por ejemplo, revaluaciones de la Deuda pública emitida en moneda extranjera) o variaciones de los activos financieros del balance del sector público (por ejemplo, préstamos del Gobierno a algunos sectores o privatizaciones) que se conocen con el nombre de "ajuste flujo-fondo".
- c) La política fiscal aplicada por las autoridades, recogida por el valor del déficit primario (es decir, descontando el pago por intereses). Siempre que el Gobierno incurra en un volumen de gastos mayor que el de sus ingresos tributarios, deberá emitir nuevos títulos de Deuda. Por tanto, si se prevé un aumento de la Deuda por cualquiera de los dos factores anteriores, será necesario generar un superávit primario con el fin de evitar una dinámica explosiva de la Deuda.
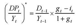
Concretamente, puede obtenerse el valor del déficit primario (DP) que permite estabilizar la Deuda pública en porcentaje de la renta (Y), que vendría dado por la expresión (suponiendo que no hay efectos de ajuste flujo-fondo para simplificar):

Donde i es el tipo de interés nominal de la Deuda y g es la tasa de crecimiento nominal de la economía. El signo del déficit primario depende del signo de la diferencia entre estas dos tasas. Siempre que la economía esté creciendo a una tasa mayor que el tipo de interés, podrá incurrirse en déficit primario sin que la ratio Deuda/PIB sea explosiva. En caso contrario, si el PIB crece más despacio que el tipo de interés, las autoridades solo podrán garantizar la sostenibilidad de la Deuda, generando un superávit primario. El tamaño de este superávit tendrá que ser mayor, por otra parte, cuanto mayor sea también la relación Deuda/PIB de la que se parta.
La segunda cuestión a la que hay que hacer referencia en torno a la financiación del déficit es la hipótesis de Equivalencia Ricardiana. Esta idea, expuesta por el economista R.J. Barro, supone que no existe diferencia entre los efectos expansivos que se derivan de financiar el gasto público mediante impuestos y los que se producirían incurriendo en déficit público y emitiendo Deuda; es decir, se pone en cuestión de hecho la eficacia de la política fiscal para generar estímulos de la demanda agregada mediante el déficit público. El argumento se basa en la restricción intertemporal del Gobierno. Si se bajan hoy los impuestos y se emite Deuda pública habrá que subirlos en el futuro para hacer frente al pago de esta Deuda. Por tanto, si los individuos son racionales no incrementarán su gasto presente cuando se les bajen hoy los impuestos, sino que ahorrarán esta cantidad para hacer frente al pago futuro de impuestos. El cumplimiento de esta hipótesis requiere, sin embargo, el cumplimiento de supuestos muy restrictivos que difícilmente se verifican en la realidad (el horizonte temporal de la restricción intertemporal del Gobierno debería coincidir con el de los contribuyentes actuales, o estos deberían estar movidos por un altruismo intergeneracional, el tipo de interés de la Deuda debería coincidir con el tipo de descuento que aplican los agentes privados para actualizar el valor de su consumo futuro, los impuestos no deberían tener ningún efecto distorsionante, y no deben existir restricciones de liquidez que impidan financiar el consumo actual).
Recuerde que...
- • El Gobierno puede financiar sus gastos a través de la recaudación de impuestos y tasas, la emisión de títulos de Deuda pública y los préstamos del Banco Central o financiación monetaria del déficit.
- • La financiación monetaria del déficit puede promover conductas fiscales menos "cuidadosas" y dificulta la principal responsabilidad del Banco Central: el control de la política monetaria y de la inflación, siendo la emisión de nuevos títulos de Deuda la forma "ortodoxa" de financiar el déficit.
- • La emisión de Deuda está limitada por una "restricción presupuestaria intertemporal del Gobierno", que implica que las deudas que se contraen en un momento determinado deben ser satisfechas en periodos posteriores; es decir, que el déficit público actual debe llevar aparejado en el futuro un superávit equivalente que permita amortizar la Deuda.
- • En la realidad el periodo para devolver la Deuda es infinito: se puede sustituir la Deuda que vence por nuevas emisiones de Deuda tratando de evitar que la relación Deuda pública/PIB crezca de forma indefinida.
- • Se dice que la Deuda pública es "sostenible" cuando la relación Deuda pública/PIB se encuentra estabilizada en un nivel que se considera razonable (en la UE se ha fijado un límite del 60%).