Concepto
En teoría económica se define la elasticidad precio de la demanda, también llamada elasticidad de demanda, como la variación porcentual en la cantidad consumida de un bien ante una variación porcentual y unitaria en el precio.
Matemáticamente, la elasticidad se puede expresar a través de incrementos, se utiliza este método generalmente cuando se tienen puntos o valores de la relación entre precio y cantidad, pero no una función matemática que relacione ambas variables para cualquier punto, como:

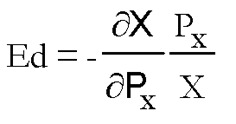
Y también se puede expresar a través de derivadas, y en este caso se define como:

Desde un punto de vista económico, la elasticidad mide el grado de sensibilidad del consumo del bien ante cambios en el precio. Esta sensibilidad aumenta a medida que la elasticidad se hace mayor porque la respuesta de la cantidad consumida ante variaciones en el precio es más importante, o bien se dice que es pequeña, o inelástica, cuando la cantidad consumida reacciona escasamente a variaciones en el precio.
Básicamente, la elasticidad cambia dependiendo de la naturaleza del propio bien y de la percepción que los consumidores tengan del mismo.
Por ejemplo, cuando el bien es percibido como un bien necesario, con escasos sustitutivos, el consumidor se encuentra más cautivo en ese mercado y tiende a pagar las subidas de precios con poca variación de la cantidad demandada. En ese caso se dice que la función de demanda es inelástica (es decir, con una elasticidad menor que la unidad).
Cuando existe la posibilidad de abandonar con facilidad un mercado porque el consumidor tiene alternativas, es decir, otros consumos sustitutivos, la demanda se dice que es elástica, es decir mayor que la unidad. Aunque lo normal es que la elasticidad de demanda oscile a lo largo de la curva de demanda, hay tres casos en los que la elasticidad es siempre constante a lo largo de la curva. Estos casos son:
- 1. El caso extremo de que la cantidad no reaccione en absoluto al precio, y por tanto la curva de demanda sea totalmente vertical, aquí decimos que la demanda es de elasticidad nula, rígida o absolutamente inelástica, es decir Ed=0. Esto es lógico, ya que la pendiente de la curva de demanda forma 90º con el eje OX y la elasticidad tiene en uno de sus miembros la inversa de esa pendiente

- 2. Si la curva de demanda es una hipérbola equilátera, la elasticidad es siempre constante e igual a la unidad, Ed =1. Esto es así porque dada la función de demanda
, siendo α una constante positiva, la elasticidad resultaría: 
- 3. Si la curva de demanda es totalmente horizontal, decimos que es una demanda infinitamente elástica, en la que el precio del bien X es una constante, es decir, que Ed = ∞. Esto es lógico, ya que la pendiente de la curva de demanda forma 0º con el eje OX y la elasticidad tiene en uno de sus miembros la inversa de esa pendiente

Variaciones de la elasticidad demanda precio a lo largo de una recta de demanda
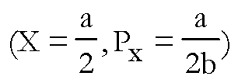
Supongamos una demanda del tipo X= a — bPx. Tomamos tres puntos posibles de esta recta:
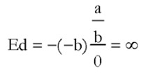
En primer lugar, el extremo superior de la recta: el punto X = 0, Px = 
En este punto la elasticidad demanda precio o elasticidad de la demanda será:
, es decir totalmente elástica. Sin embargo, en un punto medio de la recta,
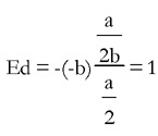
, la elasticidad sería
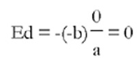
. En el extremo inferior de la recta, es decir en el punto (X = a, Px = 0), la elasticidad sería
. Obsérvese que todos los puntos, al estar situados a lo largo de la misma recta, tienen la misma pendiente (-1/b), con lo que
= -b en todos los puntos, pero la pendiente va cambiando en función del punto elegido. Es por eso que en una misma función de demanda pueden convivir distintos tipos de tramos con elasticidades diferentes.
La elasticidad de la demanda de un bien y el gasto en dicho bien
Una de las razones por las cuales la elasticidad de la demanda es un concepto sumamente estudiado por los economistas es porque ofrece información acerca de lo que va a pasar, no solo con las ventas ante un cambio en los precios, sino incluso con la cantidad total que van a ingresar los productores si deciden una subida o bajada determinada de precios. Es decir, la elasticidad permite conocer cuánto varían los gastos realizados por los consumidores en un bien (o los ingresos para los productores) si se produce un cambio en los precios.
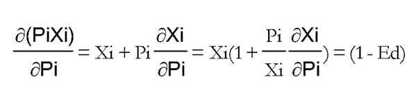
Sea Xi = f (Pi, Pj, R) una función de demanda. Definimos el gasto realizado en el bien i como PiXi
Esta medida del cambio en los gastos o ingresos ante una variación en el precio nos la da el valor de
. Derivando Xi = f (Pi, Pj, R) nos queda que:

Casos posibles:
0 < Ed <1,
> 0: El gasto aumenta si aumenta Pi
Ed =1,
= 0: El gasto no varía si aumenta Pi
Ed >1,
< 0 : El gasto disminuye si aumenta Pi
Ed < 0 (Giffen),
> 0 : El gasto aumenta si aumenta Pi
Esto significa, por ejemplo, que si un bien tiene una demanda elástica, con Ed >1, a sus productores les interesa más bajar el precio para aumentar sus ingresos (y los gastos del consumidor), que elevar los precios, pues entonces los ingresos se reducirían (ya que el aumento del precio se ve compensado por una bajada sustancial de la cantidad consumida del bien).
Recuerde que...
- • Matemáticamente, la elasticidad se puede expresar a través de incrementos, se utiliza este método generalmente cuando se tienen puntos o valores de la relación entre precio y cantidad.
- • La elasticidad de la demanda mide el grado de sensibilidad del consumo del bien ante cambios en el precio.
- • La elasticidad de la demanda permite conocer cuánto varían los gastos realizados por los consumidores en un bien (o los ingresos para los productores) si se produce un cambio en los precios.
- • Cuando existe la posibilidad de abandonar con facilidad un mercado porque el consumidor tiene alternativas, es decir, otros consumos sustitutivos, la demanda se dice que es elástica, es decir mayor que la unidad.