Concepto
La equivalencia financiera es un principio según el cual el valor financiero de la prestación que realiza la parte acreedora, coincide con el valor financiero de la contraprestación que realiza la parte deudora, en cualquier momento de la vida de una operación financiera; es decir, que una vez realizada la equivalencia entre capitales a través de una ley financiera, dicha equivalencia se mantiene siempre, tanto si valoramos los capitales en un momento inicial “t0”, como si lo hacemos en cualquier momento “t” anterior o posterior a “t0”.
De acuerdo con este principio de equivalencia financiera, si la operación financiera se realiza, es porque para ambas partes los compromisos son equivalentes; es decir, que los capitales entregados y los que se devolverán son coincidentes en su valoración por ambas partes, existiendo el adecuado equilibrio que requiere la operación.
Equivalencia financiera en rentas
Cuando se establecen las condiciones de una renta en cuanto a flujos y momentos temporales de aplicación de dichos flujos, el valor financiero de los flujos del deudor debe ser el mismo que el de los flujos del acreedor.
Una situación muy habitual es la constitución de un capital mediante un plan de ahorro o un fondo de pensiones. El suscriptor de la póliza aporta prestaciones normalmente periódicas durante un largo período de tiempo, que se valoran a un determinado tipo de interés. El capital final acumulado junto con los intereses devengados constituye la contraprestación que debe pagar la compañía de seguros al suscriptor de la póliza al final de la operación. Ambas partes asumen que las cantidades aportadas por el sujeto y la devolución del capital realizada por la compañía de seguros son financieramente equivalentes. Obviamente, la cuantía de la contraprestación debe ser superior a la agregación simple de las prestaciones, y la diferencia se corresponde con los intereses pagados y capitalizados hasta el momento final.
La expresión financiera habitual que nos da el capital final acumulado en el caso anterior es:

siendo: Cn: capital final acumulado.
Q: cuota periódica aportada por el suscriptor del plan.
i: tipo de interés garantizado por la compañía de seguros.
n: número de períodos en los que se realizan aportaciones al plan.
Equivalencia financiera en préstamos e hipotecas
Cuando un particular o una empresa firma un préstamo o una hipoteca con una entidad financiera, recibe una prestación, que se corresponde con el dinero solicitado a dicha entidad, una vez deducidas las comisiones de apertura y estudio, y el prestatario se compromete a devolver el nominal del préstamo a la entidad financiera en una serie de cuotas periódicas a lo largo de un determinado período de tiempo.
Las cuotas anteriores constituyen la contraprestación de la operación de préstamo, y se componen de los intereses devengados junto con una parte del principal que se amortiza en cada período. El tipo de interés que iguala financieramente la prestación realizada por la entidad financiera con la contraprestación realizada por el prestatario se denomina tasa interna de rentabilidad (TIR) y se corresponde con el coste financiero que tiene la operación para el prestatario.
Esta tasa es la medida de la equivalencia financiera entre la prestación y la contraprestación realizadas por la entidad financiera y por el prestatario. En el caso, por ejemplo, de un préstamo amortizable por el sistema francés, el más usual en Europa, el valor de la cuota fija que actúa como contraprestación sería:

siendo: Co: nominal del préstamo concedido.
Q: cuota periódica a pagar por el prestatario.
i: tipo de interés aplicado por la entidad financiera.
n: número de períodos en los que se amortiza el préstamo.
Equivalencia financiera en tipos de interés futuros
Cuando se quiere calcular la horquilla teórica de cotizaciones del mercado de dinero a futuro, conocida por su expresión anglosajona forward rate agreement (FRA), se puede generar a partir de las horquillas de tipos Euribor en contado a los diferentes plazos. Evidentemente habrá dos tipos FRA, el comprador y el vendedor, que conformarán dicha horquilla. Obviamente, el vendedor tendrá acceso a la oferta de más bajo interés, mientras que el comprador tendrá acceso a la oferta de más alto interés.
Para obtener la citada horquilla, nos basamos en el principio de equivalencia financiera, pero teniendo en cuenta los diferentes tipos de la horquilla de precios del Euribor.

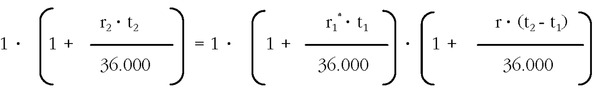
Suponemos que las horquillas del Euribor en contado a dos diferentes plazos son (r1; r1*) y (r2; r2*), siendo la primera componente el precio bajo y la segunda el precio alto. Si invertimos un euro desde el momento “t0” hasta el momento “t2”, el Banco nos dará el tipo menor de la horquilla, es decir “r2”. Mientras que si financiamos ese euro desde el momento “t0” hasta el momento “t1”, nos cobrarán el tipo mayor de la horquilla, es decir “r1*”. Pues bien, el tipo FRA “r”, es aquel que hace que se mantenga la equivalencia financiera:

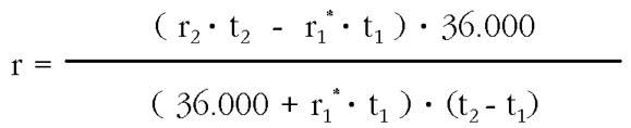
Si despejamos “r”, obtenemos:

expresión del FRA comprador, o tipo bajo de la horquilla de FRA´s.
Análogamente, si consideramos la operación inversa:

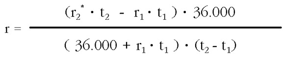
Si invertimos un euro desde el momento “t0” hasta el momento “t1”, el Banco nos dará el tipo menor de la horquilla, es decir “r1”. Mientras que si financiamos ese euro desde el momento t0 hasta el momento “t2”, nos cobrarán el tipo mayor de la horquilla, es decir “r2*”. El tipo FRA “r”, es aquel que hace que se mantenga la equivalencia financiera:

Si despejamos “r”, obtenemos:

expresión del FRA vendedor, o tipo alto de la horquilla de FRA´s.
Equivalencia financiera en tipos de cambio futuros
Cuando se quiere calcular la cotización del seguro de cambio a un determinado plazo, conocida por la expresión anglosajona forward exchange (FX), se puede generar a partir del tipo de cambio en contado (spot en terminología anglosajona), utilizando los tipos de interés del mercado interbancario en los dos países, respecto de los cuales se quiere fijar el cambio a una fecha futura.
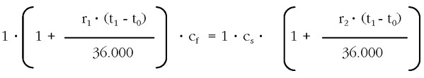
Si invertimos un euro desde el momento “t0” hasta el momento “t1” al Euribor al plazo correspondiente, y luego lo cambiamos el valor final acumulado por otra divisa, a un tipo de cambio futuro (cf), deberemos tener el mismo valor acumulado final (principio de equivalencia financiera), que si cambiamos primero el euro a la otra divisa, a un tipo de cambio en contado (cs), y luego invertimos la divisa cambiada desde el momento “t0” hasta el momento “t1”, al tipo de interés del mercado del país de destino. Por tanto, si se mantiene la equivalencia financiera:

de donde, el tipo de cambio forward es igual al tipo de cambio spot multiplicado por la relación por cociente entre los tipos de interés vigentes a plazo en ambos países:

siendo «t» el tiempo en días correspondiente al intervalo (t1 — t0).
Equivalencia financiera en tipos de interés implícitos
Cuando necesitamos valorar el precio de inversión en un momento futuro a largo plazo, es preciso utilizar como soporte las cotizaciones de la deuda pública a los diferentes plazos, y aplicar el principio de la equivalencia financiera, para obtener los denominados “tipos implícitos” de la curva de tipos de interés.
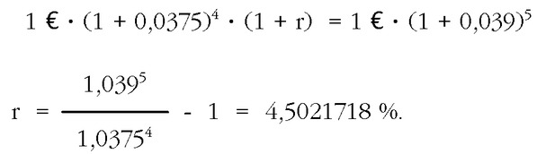
La equivalencia financiera se plantea de la siguiente forma: debe ser equivalente invertir un euro en un bono del estado a un determinado plazo, que invertirlo al plazo inmediatamente anterior, y luego reinvertirlo al nuevo plazo. De esta manera podemos despejar el tipo de interés a este plazo futuro. Veámoslo con un simple ejemplo:
Queremos obtener el valor del dinero al pasar del año 4º al año 5º. Este precio se correspondería con el equivalente financiero entre la deuda pública de 4 años y la de 5 años. Supongamos que la deuda a cuatro años cotiza al 3,75 % TIR y la deuda a cinco años cotiza al 3,90 % TIR:

es decir, la rentabilidad de una inversión realizada dentro de cuatro años y durante un año sería del 4,50 %.
Recuerde que...
- • En la equivalencia financiera en rentas se establecen las condiciones de una renta en cuanto a flujos y momentos temporales de aplicación de dichos flujos, el valor financiero de los flujos del deudor debe ser el mismo que el de los flujos del acreedor.
- • En la equivalencia financiera en préstamos e hipotecas un particular o empresa firma un préstamo o una hipoteca con una entidad financiera, recibe una prestación, que se corresponde con el dinero solicitado a dicha entidad, una vez deducidas las comisiones de apertura y estudio, y el prestatario se compromete a devolver el nominal del préstamo a la entidad financiera en una serie de cuotas periódicas a lo largo de un determinado período de tiempo.
- • En la equivalencia financiera en tipos de interés futuros se quiere calcular la horquilla teórica de cotizaciones del mercado de dinero a futuro.
- • En la equivalencia financiera en tipos de cambio futuros se quiere calcular la cotización del seguro de cambio a un determinado plazo.
- • En la equivalencia financiera en tipos de interés implícitos necesitamos valorar el precio de inversión en un momento futuro a largo plazo, es preciso utilizar como soporte las cotizaciones de la deuda pública a los diferentes plazos, y aplicar el principio de la equivalencia financiera.