Concepto
En teoría económica se define el equilibrio del consumidor como aquella combinación (X,Y,...,Z) de bienes en la que el consumidor es capaz de maximizar su función de utilidad dada su restricción presupuestaria o recta de balance, es decir, maximizar la utilidad dados unos precios de los bienes y un determinado nivel de renta.
Económicamente, el equilibrio es aquella situación donde la tasa a la cual el individuo estaría dispuesto a cambiar un bien por otro (RMSYX) coincide con la tasa a la cual los bienes están realmente siendo intercambiados en el mercado
, es decir que la tasa subjetiva a la cual el individuo cambiaría los bienes permaneciendo indiferente, coincide con el coste de oportunidad de los bienes o la tasa objetiva a la cual el mercado valora un bien en términos del otro.
Es muy importante señalar que la sucesión de puntos de equilibrio obtenidos para distintos niveles de Px, da lugar a la correspondiente curva de demanda del bien en cuestión, ya que la curva de demanda no es otra cosa que el lugar geométrico de los puntos de equilibrio del consumidor obtenidos bajo determinadas condiciones de precios y rentas.

Obtención matemática del equilibrio del consumidor
Matemáticamente, en el caso particular de dos bienes X e Y, el equilibrio se obtiene de la resolución del siguiente sistema de ecuaciones:

(II) R = Px X + Py Y
Y gráficamente esto significa que, sobre una recta de balance dada, se iguala la pendiente de la curva de indiferencia con la pendiente de la recta de balance.
Análogamente, para n bienes X, Y,..., Z, el equilibrio se obtiene a través de una igualdad conocida como la “Ley de la Igualdad de las Utilidades Marginales Ponderadas por los Precios” y la Recta de Balance correspondiente:

(II) R = Px X + Py Y+...+PzZ
Soluciones de esquina
Existe la posibilidad de que se plantee la obtención del equilibrio del consumidor en el caso de curvas de indiferencia que incumplen algunas de las propiedades habituales, como por ejemplo que son funciones de utilidad representadas por líneas recta (RMS constante), o cóncavas, o con puntos en los que la función no es derivable (y por tanto no está definida la RMSXY), etc. La mayor parte de estos casos anómalos se conocen como “soluciones de esquina”. En estos casos no se puede acudir al sistema de ecuaciones descrito con anterioridad y el equilibrio se obtiene gráficamente y recurriendo a su definición económica, es decir, buscando aquella combinación que permite alcanzar la curva de indiferencia más alejada posible del origen dada una recta de balance.
Por ejemplo, si la RMSYX es constante a lo largo de la curva de indiferencia y distinta de la relación Px/PYY, siendo por ejemplo RMSYX> Px/PY, entonces el equilibrio del consumidor está situado en un extremo de la recta de balance, es una solución de esquina, es decir, está en la combinación (R/Px, 0), lo cual resulta lógico si se tiene en cuenta que el individuo valora más el bien X que el mercado (ya que RMSYX> Px/PY), y por tanto, obtiene su equilibrio destinando tanta renta como pueda al bien X (X= R/Px) y absteniéndose de consumir el bien Y (Y=0).

El equilibrio del consumidor para una función Cobb Douglas
Dada una función de Utilidad del tipo U = AXαYβ el equilibrio dados unos niveles de Renta y Precios, R, Px, PY, se obtiene a partir de las ecuaciones anteriormente indicadas:
(I)
de donde
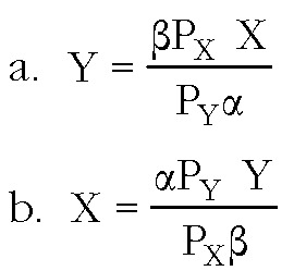
. De aquí podemos deducir dos expresiones:

que podemos sustituir en la expresión de la Recta de Balance:
(II) R = Px X + Py Y, con o que la combinación (X, Y) de equilibrio es:

Dejando Px y Py como variables, y dado un nivel de renta, estas mismas expresiones genéricas de equilibrio sirven para determinar las funciones de demanda de los bienes X e Y. Obsérvese que es característico de las funciones de Utilidad Cobb Douglas que las combinaciones de equilibrio de X o de Y no dependen del precio del otro bien (son independientes de otros precios) y que la renta aparece en el numerador, con lo que los bienes X e Y deben ser normales respecto a la renta.
Recuerde que...
- • Maximizar la utilidad dados unos precios de los bienes y un determinado nivel de renta.
- • La tasa subjetiva a la cual el individuo cambiaría los bienes permaneciendo indiferente, coincide con el coste de oportunidad de los bienes o la tasa objetiva a la cual el mercado valora un bien en términos del otro.