Concepto
En teoría económica es habitual definir el equilibrio del consumidor sin tener en cuenta el tiempo, es decir, suponiendo que el consumidor maximiza su utilidad dada una renta y unos precios actuales, sin tener en consideración que el individuo puede planificar sus consumos a lo largo del tiempo y puede trasladar parte de sus rentas hacia el futuro, mediante el ahorro, o bien puede adelantar parte de sus rentas futuras hacia el presente mediante la solicitud de un préstamo a una entidad financiera. Sin embargo en el equilibrio convencional, o atemporal, suponemos que el individuo gasta toda su renta en cada momento y que, por tanto, no tiene deudas ni ahorros, ya que siempre se encuentra o trata de encontrarse sobre su recta de balance.
De esta forma, por el contrario, el estudio del equilibrio intertemporal supone un refinamiento del modelo tradicional de equilibrio del consumidor, añadiéndole mayor cercanía a los comportamientos reales de los individuos, ya sean consumidores o productores. Este modelo microeconómico de consumo está estrechamente ligado a otros avances de la macroeconomía en el estudio del consumo, tales como la Teoría de la renta permanente o del ciclo vital, al tomar en consideración las decisiones de consumo en una perspectiva más amplia del tiempo y no de forma instantánea en cada momento.
El consumo intertemporal y su equilibrio
Este problema se conoce también con el nombre de elección intertemporal pues es la elección del consumo en períodos de tiempo sucesivos. Comenzamos por denominar C al bien único que existe en la economía. Genéricamente representa el Consumo de todos los bienes durante un período de tiempo determinado. Por ejemplo,
C1 = Px X + Py Y + Pz Z +...+ Pn N, es decir, el conjunto de todas las cantidades consumidas en el período 1.
Supongamos, dos períodos (para simplificar): período actual, que presenta un nivel de consumo actual o C1 y período futuro, que expresa un consumo futuro o C2.
Los pares (C1, C2) se pueden representar en forma de curvas de indiferencia que cumplan la totalidad de las propiedades habitualmente exigidas a dichas curvas. Y al igual que en el consumo atemporal (es decir, el caso habitual de equilibrio del consumidor sin tener en cuenta el tiempo), podemos definir una función de utilidad del tipo U = U (C1, C2) que presentará una Relación Marginal de Sustitución entre consumo presente y futuro del tipo
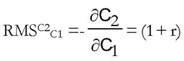
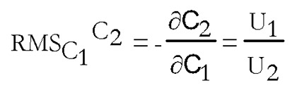
, donde U1 es la utilidad marginal reportada por una unidad adicional de consumo presente o C1 y U2 es la utilidad marginal reportada por una unidad adicional de consumo futuro. En este caso RMSC1C2 expresa la cantidad de consumo futuro que estoy dispuesto a ceder a cambio de aumentar el consumo presente o coste de oportunidad de elevar el consumo presente en términos de unidades de consumo futuro a las que tendría que renunciar para ello. De esta forma, un consumidor ahorrador o paciente, es decir que prefiere el consumo futuro o C2 al consumo presente o C1, tendrá una RMSC2C1<1; un consumidor impaciente, que prefiere el consumo presente C1, al consumo futuro C2, tendrá RMSC2C1>1 y si es totalmente neutral entre C1 y C2 tendrá RMSC2C1 = 1
Restricción presupuestaria o recta de balance intertemporal
Al igual que en el consumo atemporal, el consumidor tiene una restricción o recta de balance intertemporal. Partimos de nuevo de la existencia de dos únicos períodos, presente y futuro
Llamamos
r = tipo de interés
Y1 = Renta del período 1 (hoy)
Y2 = Renta del período 2 (mañana o futuro)
Como suponemos que la restricción presupuestaria debe ser una línea recta, si conocemos dos puntos de la misma, tendríamos definida su función matemática. Esto podemos hacerlo colocándonos en los puntos extremos o puntos de corte con los ejes.
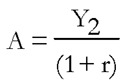
Partimos de C2 = 0. Si el consumidor desea aumentar su consumo presente, puede acudir al mercado de crédito, donde le cobrarán en función del tipo de interés, r. Podrá pedir un anticipo, que llamamos A, sobre su renta futura, Y2, de tal manera que como máximo Y2 = A + r A, es decir, que Y2 = A (1 + r), luego el anticipo que puedo solicitar,
, por esa razón, suponiendo que estoy atrayendo hacia el presente toda mi renta futura (por eso hemos considerado C2 = 0), el valor presente de mi renta futura Y2 será
. Para mi consumo en el período actual, por tanto, contaré con mi renta actual y todo el anticipo que me den sobre mi renta futura, es decir, mi renta actual más mi renta futura expresada en moneda actual, es decir,

En suma, uno de los puntos de la recta debe ser 
Si nos vamos ahora al otro extremo, partimos de C1 = 0. Si el consumidor desea aumentar su consumo futuro, puede acudir al mercado de crédito, donde le guardarán su renta presente y le darán intereses por esos ahorros en función del tipo de interés, r, del mercado. En el futuro podrá disfrutar de su renta del período 2 más toda la renta del período 1 más los correspondientes intereses, por esa razón, disfrutará de Y2 + (1 + r) Y1. En realidad, como en el punto de corte está trasladando al futuro toda su renta (por eso C1 = 0), entonces, C2 = Y2 + (1 + r) Y1
Vamos a hallar la ecuación de la recta de balance. Partimos de que:
El total del flujo de todas las rentas posibles en el período 1 en pesetas del período 1 es:

El total del flujo de todos los consumos posibles en el período 1 en pesetas del período 1 es:

Y ambos deben coincidir, puesto que el consumidor es no saturable, y tiende a gastar toda su renta:
. Despejando nos queda:
C2 = (1 + r) [ Y1 — C1 ] + Y2 Ecuación de la Recta de Balance Intertemporal
Al igual que en el consumo atemporal, la
expresa el coste de oportunidad entre los consumos presente y futuro, pues me indica que consumir 1 unidad monetaria hoy equivale a renunciar a (1+r) unidades monetarias de mañana (es el valor actual de la renta de mañana).
Ecuaciones del equilibrio intertemporal
Al igual que en el equilibrio atemporal, la recta de Balance y la curva de indiferencia deben ser tangentes, es decir, que:
— dC2 / dC1 = U1 /U2 = RMSC2C1 = (1+r) = tgα
Y además debe cumplirse la ecuación de la propia recta de balance intertemporal:
C2 = (1 + r) [ Y1 — C1 ] + Y2

Cómo varía la recta de balance al variar r
Supongamos r2> r1, en este caso variará la pendiente, variarán los puntos de corte con los ejes, pero no variarán lógicamente las disponibilidades de renta del individuo (Y1, Y2).

Podemos encontrarnos distintos casos:
a) Consumidor ahorrador o paciente (es aquel que prefiere el consumo futuro, es decir que se sobreentiende que es actualmente, en el período 1, paciente o ahorrador y por tanto la inversa en el futuro o período 2)
Hay que partir de que es en el presente ahorrador, por tanto, su consumo óptimo C1* es menor que Y1.

Observando el gráfico, parece que el resultado final debe ser que aumenta C2 y disminuye C1. Sin embargo, vamos a ver que no necesariamente debe ser así, pues depende del ER y del ES.

Por el ES aumenta C2 y disminuye C1, pero por el ER, como un aumento del tipo de interés para un ahorrador es equiparable a un aumento de renta, y suponemos el consumo en general como bien normal (aunque algunos bienes sean inferiores, el consumo en general suele elevarse en conjunto cuando aumenta la renta), luego deberían aumentar C1 y C2. Por tanto, en conjunto, aumentará C2, pero no está tan claro qué va a pasar con C1.
¿Qué explicación económica tiene lo que ha sucedido, es decir, que ante un incremento de r el consumidor ahorrador aumente o disminuya C1? Por un lado, el consumidor aumentará C1 ya que al elevarse r, ahora puede ahorrar lo mismo para el mañana viviendo un poco mejor en el presente, pero también puede verse tentado de reducir C1, ya que ahora al elevarse el interés que se paga el consumo presente está penado sobre el consumo futuro (o el ahorro primado): ahora es más interesante incluso que antes el acto de ahorrar. En suma, no está totalmente claro que va a suceder en el presente con el consumo si se elevan los tipos de interés, lo cual tiene, obviamente, importantes consecuencias macroeconómicas.
b) En el caso del consumidor desahorrador o prestatario (es decir, aquel que prefiere el consumo presente), hay que partir de que es desahorrador, por tanto, su consumo óptimo C1* es mayor que Y1. Por el efecto sustitución al pasar de A a c, aumenta su consumo fututo pero reduce el presente, pero por el efecto renta, disminuyen ambos consumos por el mismo razonamiento anterior, con lo que es incierto lo que suceda con C2, aunque C1 tenderá a reducirse.

Ley de Bhom-Bawerk
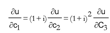
Suponemos interés compuesto (aunque se cumple igualmente con interés compuesto) y tres períodos:

En equilibrio,
sustituyendo queda que
; como i > 0, entonces
1 < (1+i) <(1+i)2 con lo cual, resulta que:
o Ley de Bohm Bawerk.
Es decir, que el consumidor valora más el gasto cuanto más próximo lo tiene en el tiempo: las necesidades más alejadas en el tiempo se subestiman, de ahí que esta Ley se conozca como Ley de Bohm Bawerk o Ley de la Subestimación de las Necesidades Futuras.
Esquema comparativo del consumo sin considerar el tiempo y el consumo en función del tiempo


Recuerde que...
- • En este equilibrio el individuo gasta toda su renta en cada momento y no tiene deudas ni ahorros, ya que siempre se encuentra sobre su recta de balance.