Concepto
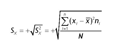
El término desviación estándar fue incorporado a la estadística por Karl Pearson en 1894. Se define como la raíz cuadrada con signo positivo de la varianza, esto es,

Para estudiar de manera detallada el comportamiento de un conjunto de observaciones, no es suficiente el conocimiento de las medidas de posición o tendencia central, sino que también resulta necesario abordar la desviación o dispersión de dichas observaciones respecto a estas. Así, a modo de ejemplo, en una determinada localidad el salario medio de los trabajadores que en ella habitan puede ser de 1.500 euros/mes. Ahora bien, dicha información, por sí sola, nada nos dice acerca de la representatividad de dicho promedio. ¿Es que la totalidad de los trabajadores perciben 1.500 euros/mes? ¿Es que la mitad percibe 500 euros/mes y la otra mitad percibe 2.500? Evidentemente, ambas situaciones son muy distintas, si bien en las dos el salario medio de los trabajadores de la localidad en cuestión es el mismo.
De igual manera que la medida de posición central que más se utiliza es la media aritmética de la distribución, la desviación típica es la medida de dispersión absoluta por excelencia. La principal diferencia entre la varianza y la desviación típica es que mientras que la varianza viene medida en las unidades de la variable al cuadrado, la desviación típica viene medida en las mismas unidades que la variable, lo que hace más sencilla su interpretación. Continuando con el ejemplo anterior, la varianza de los salarios de los trabajadores de la localidad en cuestión vendría dada en euros al cuadrado, mientras que la desviación típica viene expresada en euros. Resulta evidente, y no merece mayor comentario, que nadie ha visto nunca un euro al cuadrado. Otro ejemplo evidente podría resultar de una distribución de alturas. Si estas se miden en metros (longitud), la varianza vendría dada en metros al cuadrado (un área). Lógicamente, nadie entendería que la variabilidad de las alturas de una distribución de observaciones fuese un área; todos esperaríamos que fuese una longitud, tal y como dicta la desviación típica.
Interpretación
Como se ha comentado anteriormente, la desviación estándar es una medida del grado de dispersión de las observaciones alrededor de su valor medio. Al definirse como la raíz cuadrada con signo positivo de la varianza, la desviación estándar es simplemente la raíz cuadrada de la media cuadrática de las desviaciones de las observaciones respecto de su media, por lo cual, la desviación típica podría interpretarse como una desviación "promedio" de dichas observaciones respecto la media aritmética.
Obviamente, cuanto mayor sea la desviación típica mayor será la dispersión de los valores de la distribución respecto a la media aritmética y, por tanto, la media aritmética será menos representativa de las observaciones de dicha distribución. Y viceversa.

En el gráfico anterior pueden verse representadas mediante un histograma dos diferentes distribuciones de frecuencias, A y B. Ambas tienen el mismo valor medio,
sin embargo la distribución de los valores en torno a dicha media es muy diferente. Mientras que la distribución A tiene valores muy alejados de su media, la distribución B presenta la mayoría de los valores alrededor de la misma. Por tanto, como puede apreciarse, la media de la distribución A,
es muy poco representativa de la distribución mientras que la media que la distribución B,
sí es representativa, pues la mayoría de los valores de la distribución están muy próximos a ella. Debe quedar claro que ambas distribuciones tienen la misma media, pues en caso contrario la medida apropiada para decidir cuál de los dos promedios es más representativo es el coeficiente de variación de Pearson, que relaciona la desviación típica con la media a través de un cociente, es decir, que indica las veces que la desviación típica contiene la media (por ejemplo, la desviación típica es dos veces la media, o tres veces la media).
Propiedades
Véanse a continuación algunas propiedades interesantes de la desviación típica:
- — La desviación típica siempre es mayor o igual que cero. Lógicamente, la variabilidad de una distribución de frecuencias puede ser muy elevada, elevada, poca, muy poca o ninguna; pero nunca puede ser negativa. No se entiende el concepto de variabilidad relacionado con medidas negativas.
- — La desviación típica puede expresarse como

- — A la desviación típica no le afectan los cambios de origen: Si yi = xi ∓ b, entonces Sy = Sx
Es decir, si a los valores de una variable se le suma o resta una constante, su variabilidad, medida por la desviación típica, no se modifica, pues dicha constante se le ha agregado o sustraído a la totalidad de ellos.
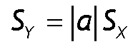
- — A la desviación típica le afectan los cambios de escala: Si yi = axi, entonces

- — Como consecuencia de las propiedades 3) y 4), si a una variable se le aplica un cambio de origen b y un cambio de escala a, la desviación típica pasa a ser

- — La desviación típica, igual que la varianza, es una medida de dispersión óptima, en el sentido de que proporciona el valor mínimo de la variabilidad (menor que cualquier otra desviación relativa a otro punto de la escala).
- — En general, la desviación estándar está menos influida por las fluctuaciones de los datos que las demás medidas de dispersión.
- — A partir de la desigualdad de Tchebycheff se establece que el número de observaciones contenidas en el intervalo
es, al menos, el 75 % de las que contiene la distribución. Igualmente, al menos el 89 % de las observaciones de la distribución pertenecen al intervalo
. En general, como mínimo el
de las observaciones de la distribución se encuentran ubicadas en el intervalo
.
A partir de estas consideraciones, es relativamente sencillo hacerse una idea de las observaciones de la distribución a partir de dos sencillas medidas sintéticas como son la media y la desviación típica.
Tipificación
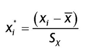
Se denomina tipificación de los valores de una variable al proceso por medio del cual se expresan dichos valores en términos del número de desviaciones típicas que están por encima o por debajo de la media. Analíticamente, el valor tipificado de xi, x*i viene dado por:

La distribución de frecuencias correspondiente a la variable tipificada X* tiene media nula y desviación típica unitaria.
¿Cuál es la principal utilidad de la operación de tipificación? Veámoslo con un ejemplo que ya se puede considerar como clásico. Imagínese que un trabajador está empleado en una empresa en la que el salario medio mensual es de 1.500 euros, siendo la desviación típica de 150 euros. Su salario, en concreto, es de 1.750 euros. Supóngase ahora que recibe una oferta de otra empresa por valor de 2.000 euros al mes. En dicha empresa el salario medio es de 1.600 euros y la desviación típica es de 300 euros. La pregunta es ¿en cuál de las dos empresas su salario es más elevado en relación con sus compañeros de trabajo?
Pues bien, en la empresa actual su salario está 1,67 desviaciones típicas por encima del salario medio de la misma; sin embargo, en la empresa que realiza la oferta su salario estaría tan solo 1,33 desviaciones típicas por encima de la media salarial. En conclusión, independientemente de si el trabajador acepta o no la oferta en cuestión, el salario en la nueva empresa sería más elevado, pero la posición del trabajador en el ranking de trabajadores según salario sería más baja que en la empresa en la que actualmente trabaja.
Desviación típica de una variable aleatoria
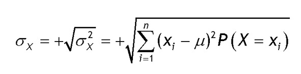
En aras de la sencillez, las secciones anteriores hace referencia al cálculo de la desviación típica a partir de distribuciones de frecuencias. Pero de manera análoga se puede definir la desviación típica en el ámbito de la incertidumbre, es decir, cuando se trabaja con variables aleatorias. En este caso, dada la variable aleatoria X, su desviación típica viene dada por:


donde μ denota la media o valor esperado de la variable aleatoria X, y en el caso continuo, f (x) representa su función de densidad de probabilidad.

La segunda figura representa una función de densidad con la misma media (o esperanza), 25, pero con distinta desviación típica (en la primera es 3 y en la segunda 10). Como puede apreciarse, la media de la primera distribución (que viene acompañada de una menor desviación típica o estándar) resulta más representativa, como medida de posición central, de la distribución de probabilidad que la de la segunda.
La interpretación, propiedades, etc. de la desviación típica en el contexto aleatorio son las mismas que en el contexto determinista.
Recuerde que...
- • Es la medida de dispersión absoluta por excelencia.
- • Diferencia entre la varianza y la desviación típica: la varianza viene medida en las unidades de la variable al cuadrado, la desviación típica viene medida en las mismas unidades que la variable.
- • Propiedades: siempre es mayor o igual que cero, no le afectan los cambios de origen, le afectan los cambios de escala, es una medida de dispersión óptima..
- • Tipificación: proceso por medio del cual se expresan dichos valores en términos del número de desviaciones típicas que están por encima o por debajo de la media.