Concepto
Los modelos VAR (o modelos autorregresivos vectoriales) y VEC (o modelos de corrección de error vectoriales) se utilizan para modelizar series temporales en contextos multivariantes donde hay dependencias dinámicas entre distintas series. Esta modelización multivariante, al utilizar más información, puede servir para mejorar la predicción frente a los modelos univariantes de series temporales, donde cada serie se modeliza por separado. También se utilizan estos modelos para realizar simulaciones dinámicas de la transmisión de los efectos de un shock aleatorio sobre las restantes series. Los modelos VAR se utilizan cuando las series temporales a modelizar son estacionarias, mientras que los modelos VEC se utilizan cuando las series son integradas de orden 1 y es necesario aplicar el análisis de cointegración para modelizar dichas series. De hecho los modelos VEC pueden considerarse una extensión multivariante al análisis de cointegración clásico, cuando hay más de dos series no estacionarias en el modelo.
Modelos VAR
Los modelos VAR constituyen una extensión directa de los modelos autorregresivos univariantes cuando tenemos más de una serie temporal y se quiere captar las dependencias dinámicas que puede haber entre estas series. Por ejemplo, imaginemos que queremos modelizar la dependencia entre las tasas de crecimiento interanuales del Consumo y del PIB. Lógicamente, ambas series estarán correlacionadas; pero esta dependencia no solo será contemporánea (en el mismo instante) sino que también el pasado del PIB puede influir sobre el consumo actual y viceversa (dependencia dinámica). Una forma de observar estas dependencias en el tiempo es utilizando la función de correlación cruzada entre ambas variables, la cual nos mide la correlación que tiene el consumo con los retardos 0, 1, 2,... de la variable PIB y viceversa. Si esta función de correlación cruzada solo tuviera un valor importante en el retardo 0, quiere decir que solo habría correlación contemporánea entre ambas series y, por lo tanto, un modelo de regresión habitual permitiría captarla. Sin embargo si, como suele suceder, hay correlaciones importantes también en retardos distintos del 0, entonces hay que recoger estas correlaciones dinámicas a través de modelos VAR (o de función de transferencia si la causalidad es en una dirección única, por ejemplo, del pasado del PIB hacia el consumo y no al contrario).

Como se puede apreciar en el gráfico, existe una dependencia entre ambas series que no solo se refiere al mismo instante (retardo 0), sino que cada serie depende también de los retardos de la otra. Por supuesto, si mirásemos la función de autocorrelación, habitual en los modelos AR, observaríamos también que cada serie depende asimismo de sus propios retardos (es decir, tanto el PIB como el consumo dependen de su propio pasado y no solo del pasado de la otra serie).
Como consecuencia, un modelo que permite captar la dependencia dinámica de ambas series podría ser el siguiente VAR (1):
CONt = Ф1,0 + Ф1,1CONt-1 + Ф1,2PIBt-1 + Ф1,t
PIBt = Ф2,0 + Ф1,2CONt-1 + Ф2,2PIBt-1 + Ф2,t
En este modelo se permite que los retardos del Consumo y PIB determinen la evolución de la variable Consumo y, en la segunda ecuación, lo mismo con el PIB. La dependencia contemporánea entre ambas variables se capta permitiendo que la correlación entre los ruidos u1t y u2t no sea cero. Este modelo VAR puede estimarse de forma consistente (y eficiente) por mínimos cuadrados ordinarios, por lo cual puede hacerse utilizando cualquier software econométrico estándar. En nuestro caso, las estimaciones obtenidas son las siguientes:

Como era de esperar, observando la función de correlación cruzada, en ambas ecuaciones los coeficientes de los retardos son positivos y significativos (p-valores del estadístico t de contrastar la significatividad muy bajos). Además, la correlación contemporánea entre los residuos (0.68) indica que también hay una dependencia importante en el mismo instante temporal entre Consumo y PIB.
Una forma directa de comprobar si hay dependencias dinámicas que no hemos captado con el VAR, es decir, si los retardos incluidos eran adecuados, es analizar la función de autocorrelación de los residuos. En nuestra estimación, los gráficos de los residuos y autocorrelaciones son los siguientes:

Todos los retardos de la función de autocorrelación de los residuos (que muestra la dependencia dinámica de cada serie que no hemos captado) son muy pequeños, indicando que hemos recogido la mayor parte de dependencia temporal para ambas. Solo destaca el retardo 4 en la a.c.f. de los residuos del PIB, que es importante, quizás debido a un patrón estacional no captado (la frecuencia de la serie es trimestral por lo cual puede haber cierta estacionalidad de orden 4). Otra manera frecuente de especificar el número de retardos del VAR es elegir algún criterio de información (habitualmente AIC o SC) y elegir el número de retardos que hace que el VAR estimado tenga el menor valor del criterio de información elegido. Por ejemplo, en nuestro caso se estimaron modelos VAR desde el orden 1 hasta el 4 y el de orden 1 fue el que tenía un valor menor del SC, por ello se eligió ese número de retardos.
Una de las principales utilidades de los modelos VAR, además de la realización de predicciones hacia el futuro, es el estudio de la respuesta dinámica de una serie cuando se produce un shock inesperado en la otra serie. Por ejemplo, ¿cuál sería la respuesta del consumo en el tiempo si hay un shock inesperado en el PIB? Esta respuesta dinámica viene dada por la función de respuesta al impulso, la cual muestra el efecto contemporáneo y en los instantes posteriores del shock. Para el modelo VAR (1) estimado, la función de respuesta del consumo frente a shocks unitarios en el PIB viene dada por:

Como se puede observar en el gráfico, hay una reacción positiva inicial que se diluye en el tiempo hasta hacerse insignificante a partir de 10 períodos posteriores. El gráfico inferior mide la respuesta acumulada del consumo. Hay que observar que, a pesar de haber incluido un único retardo en el modelo, la dependencia dinámica se extiende muchos más períodos; ya que los modelos autorregresivos permiten extender la memoria mucho más allá del número de retardos incluidos.
Modelos VEC
El análisis anterior es válido cuando las series incluidas en el modelo son estacionarias (con media y varianza estables) pero no lo es si, como ocurre en muchas situaciones, las series son integradas o no estacionarias. Por ejemplo, las series correspondientes a pernoctaciones mensuales de viajeros (en logaritmos) de tres regiones diferentes muestran un perfil claramente no estacionario, por lo cual no se pueden estimar modelos VAR directamente como hicimos en el apartado anterior.

Una alternativa para poder modelizar estas series sería transformarlas previamente en estacionarias, por ejemplo, trabajando con las series en tasas de crecimiento en lugar de los logaritmos de la serie original y, una vez transformadas en estacionarias, especificar y estimar un modelo VAR como los vistos anteriormente. Sin embargo, esta forma de modelización elimina las posibles relaciones de cointegración (o de largo plazo) que pudieran establecerse entre las series no estacionarias, por lo cual se pierde información. Una mejor opción puede ser integrar las relaciones de cointegración, o relaciones de largo plazo estacionarias, dentro de la modelización VAR y esto es, precisamente, lo que se hace a través de los modelos VEC. La teoría de la cointegración muestra que, aunque las series originales sean no estacionarias, puede que haya combinaciones lineales de equilibrio entre ellas que sean estacionarias (a estas relaciones de largo plazo se les denomina relaciones de cointegración). En los modelos VEC se intenta establecer un marco único en el que se integren tanto las relaciones de largo plazo estacionarias (recogidas a través de las relaciones de cointegración) junto con las dependencias dinámicas de corto plazo captadas a través de modelos VAR.
Las etapas de modelización VEC incluyen las siguientes fases:
• Especificación y estimación de un modelo VAR sobre las series originales. En nuestro ejemplo se ha estimado un modelo VAR (1) sobre las 3 series de pernoctaciones en distintas regiones. Por supuesto, para la especificación de los retardos del modelo VAR se pueden utilizar criterios de información tal y como se indicó en el apartado anterior.
• Detección del número de relaciones de cointegración independientes, o de largo plazo, existentes entre las variables. A este número se le denomina rango de cointegración. En general, si tenemos n series no estacionarias el rango de cointegración puede oscilar entre los valores: 0,1,...,n-1. Para detectar de forma estadística el rango de cointegración, se suele utilizar el test de la traza expuesto por Johansen. Dicho test tiene una forma secuencial cuya primera hipótesis nula es rango=0 frente a rango>0. Si se rechaza la nula, se plantea la hipótesis rango=1 frente a rango>1 y así sucesivamente hasta que no se rechace la hipótesis nula. En este momento, el rango de cointegración será el que venga dado por dicha hipótesis nula. A modo de ejemplo, el resultado del test de la traza para el ejemplo de pernoctaciones viene dado por:

En nuestro caso, al existir 3 series, los posibles valores del rango de cointegración serían 0,1 y 2. Como se puede observar, la hipótesis nula, o H0, se rechaza para rango=0 y no se rechaza para rango=1 por lo cual se detecta una única relación de cointegración.
• Una vez detectado el número de relaciones de cointegración (o rango de cointegración) el siguiente paso es reestimar el modelo VAR incluyendo estas relaciones. En nuestro ejemplo, la relación de cointegración estimada tendría los siguientes coeficientes:

Esto quiere decir que, aunque cada serie de pernoctaciones sea no estacionaria, la combinación lineal dada por:
Reg.I-(0.32)RegII-(0.444)RegIII-0.00018t , es estacionaria. De hecho, el gráfico anterior de las series de pernoctaciones muestra al final el vector de cointegración estimado y, efectivamente, parece que esta relación es estable.
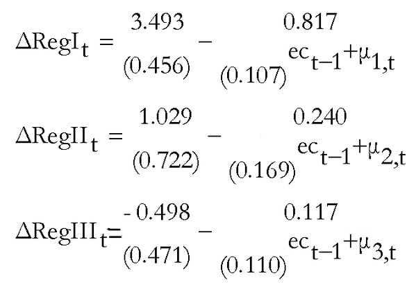
• Una vez estimado el modelo VAR junto con las relaciones de cointegración correspondientes, es posible expresar el modelo en forma de mecanismo de corrección del error, o modelo VEC. En este modelo, las variables dependientes son las diferencias o cambios de las variables originales, definidas como Δyt= yt- yt-1. Estas diferencias se expresan, al igual que en un modelo VAR, como función de diferencias anteriores (si es que hay correlaciones dinámicas de corto plazo entre ellas) y, además, como función de las desviaciones de las relaciones de equilibrio producidas en el período anterior (mecanismo de corrección de error). Si estas desviaciones se consideran como el error en la relación de equilibrio, lo que se hace es corregir el cambio o crecimiento de las variables, medido por Δyt como función del error cometido anteriormente. Este error vendrá medido por el valor de la relación de cointegración en el período anterior. En nuestro ejemplo, el modelo VEC estimado quedaría de la siguiente forma:

donde, como es habitual, los valores entre paréntesis representan desviaciones típicas estimadas y el término ect-1 es la corrección del error, medida por la desviación de la relación de equilibrio del período anterior. En nuestro caso, dados los coeficientes de la relación de cointegración, se calcula como ect-1= RegIt-1-(0.32)RegIIt-1-(0.444)RegIIIt-1+0.00018(t-1). Por supuesto, si hubiera más de una relación de cointegración habría que incluir más términos de corrección de error tipo ect-1 (uno por cada relación). Además, si hubiera autocorrelación en los residuos ui,t, se podrían incluir retardos de las variables ΔRegt como en los modelos VAR habituales (los cuales se añadirían a los términos ect-1 también como regresores).
Para acabar, hay que señalar que los coeficientes asociados a los términos de corrección de error ect-1 (denominados loadings) miden como cambia la variable Regt correspondiente cuando se produce una desviación del equilibrio en el período anterior. Así, si el signo es negativo (y significativo) quiere decir que cuando hay una desviación positiva (ect-1>0), es previsible que el cambio en la variable Regt durante el período siguiente sea negativa (ΔRegt<0). De esta manera se compensa en cierta forma la desviación o error y se vuelve a la senda del equilibrio (actúa en cierto sentido como una especie de atractor).
A partir de los loadings estimados en el modelo VEC, hay cierta evidencia de que la primera región es la más influenciada por la relación de equilibrio entre ellas. Como es habitual, una vez estimado el modelo VEC puede utilizarse con fines predictivos al igual que ocurría con los modelos VAR. Si, efectivamente, la relación de equilibrio es importante en la determinación de las variables, entonces habrá una mejora en la predicción respecto a los VAR (y también respecto a los modelos AR univariantes que utilizan una menor cantidad de información).
Recuerde que...
- • Los modelos VAR (o modelos autorregresivos vectoriales) y VEC (o modelos de corrección de error vectoriales) se utilizan para modelizar series temporales en contextos multivariantes donde hay dependencias dinámicas entre distintas series.
- • Los modelos VAR constituyen una extensión directa de los modelos autorregresivos univariantes cuando tenemos más de una serie temporal y se quiere captar las dependencias dinámicas que puede haber entre estas series.
- • En los modelos VEC se intenta establecer un marco único en el que se integren tanto las relaciones de largo plazo estacionarias (recogidas a través de las relaciones de cointegración) junto con las dependencias dinámicas de corto plazo captadas a través de modelos VAR.
- • Una de las principales utilidades de los modelos VAR, además de la realización de predicciones hacia el futuro, es el estudio de la respuesta dinámica de una serie cuando se produce un shock inesperado en otra serie.