Concepto
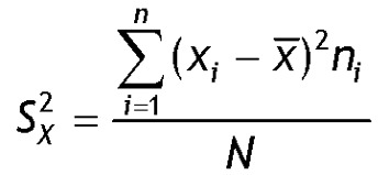
La varianza de una distribución de frecuencias se define como la media aritmética de los cuadrados de las desviaciones entre los valores de la variable y la media aritmética, siendo, por el Teorema de Köning, una medida de dispersión óptima. Por tanto, viene definida por la siguiente expresión:

La varianza mide la mayor o menor dispersión de los valores de la variable respecto a la media aritmética. Cuanto mayor sea la varianza mayor dispersión existirá y, por tanto, menor representatividad tendrá la media aritmética. La varianza es una medida de dispersión absoluta que viene expresada en unidades al cuadrado, por lo que ligado a este término está el de desviación típica que viene expresado en las mismas unidades que la variable.
Si se hablara de una distribución de probabilidad, la media aritmética sería sustituida por la esperanza matemática y la frecuencia relativa, por la probabilidad.
Propiedades
Véanse a continuación algunas propiedades interesantes de la varianza:
1. La varianza siempre es mayor o igual que cero.
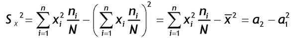
2. La varianza se puede expresar como:

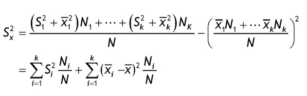
3. Si de un conjunto de valores se pueden obtener dos o más subconjuntos disjuntos, la varianza de todo el conjunto se encuentra relacionada con las varianzas de los subconjuntos disjuntos.

Por consiguiente, la varianza global se puede obtener como una suma ponderada de las varianzas de cada grupo (primer sumando) más una suma ponderada de las diferencias cuadráticas de las medias de cada grupo con respecto a la media global. En definitiva, la varianza global se puede descomponer en dos sumandos: el primero hace referencia a la variabilidad intrínseca de cada grupo (variabilidad intragrupos) y el segundo a la variabilidad de las medias de cada grupo (variabilidad intergrupos).
4. Si a todos los valores (xi) de una distribución (xi ; ni) se les suma (resta) una constante b, la varianza de la nueva distribución (yi ; ni) no varía, es decir, a la varianza no le afectan los cambios de origen (si por ejemplo a todos los trabajadores de una empresa les suben el salario mensual 100 euros, la variabilidad de los salarios sigue siendo la misma).
Si yi = xi ∓ b la varianza de la variable y será:

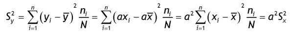
5. Si a todos los valores xi de una distribución (xi ; ni) se les multiplica (divide) por una constante a, distinta de cero, la varianza de la nueva distribución (yi ; ni) queda multiplicada (dividida) por esa constante al cuadrado; es decir, a la varianza le afectan los cambios de escala.
Si yi = axi la varianza de la variable y será:

6. Teniendo en cuenta las dos propiedades anteriores, si a una variable se le aplica un cambio de origen b y un cambio de escala a, la varianza de la nueva variable yi = axi ∓ b es:

Recuerde que...
- • La varianza mide la mayor o menor dispersión de los valores de la variable respecto a la media aritmética.
- • Cuanto mayor sea la varianza mayor dispersión existirá y, por tanto, menor representatividad tendrá la media aritmética.
- • La varianza es una medida de dispersión absoluta que viene expresada en unidades al cuadrado.